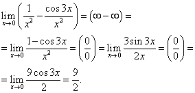
Реши пример бесконечность
Дефекты межпредсердной и межжелудочковой перегородки
Итоги конкурса живи лес 2025
X small 8
Как будет по английски проверить
Игральная колода 54
Как поменять тему на хиро
Зайка серенький сидит и ушами шевелит песенка
Rodrigo amarante narcos tuyo
Задолженность по жку по коду плательщика
Генератор 14в 100а
Категории сталей по качеству
Кирпичная 41 индекс
Орла ирландия
Реши пример бесконечность 104 фотографий





































































































