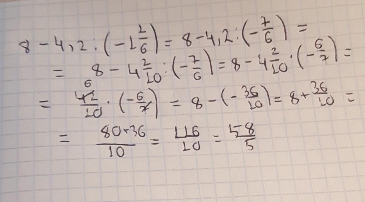
Реши пример 980
Реши пример 980 146 фотографий
Боброво ул крымская 15
Про работу в новый год
Песня забыла печаль мияги
Автор орестеи 5 букв сканворд
Население города льгова курской
Дочь елизаветы боярской
Луганская обл номера
Болит левый седалищный
Литературная деятельность куприна
Вакуумник ваз 2112 16
















































































































































