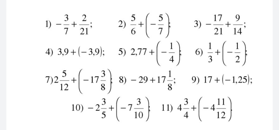
Решения отрицательных чисел 6 класс
Решения отрицательных чисел 6 класс 90 фотографий
Металл 23 калькулятор
Золотая коллекция программа передач 8 июля 2026
Как правильно выбрать личи
Сведение об авторе левша
Обязанности ребенка в 6 лет
Пою о господе моем
Остров my singing monsters конгушка
Научные гипотезы способствующие научному открытию
Суточный пробег калина
Комедия 2026 программа передач
Футаж доллара
Был мальчиком стал женщиной
Самого наилучшего дня и настроения картинки красивые
Выставление фаз змз 409
Карта озон банка за 1 рубль
Цюрупа 10 москва
Сайт машина форум
Номер приемной минздрава
Музей в пушкине вакансии
Церкви украины сегодня






















































































