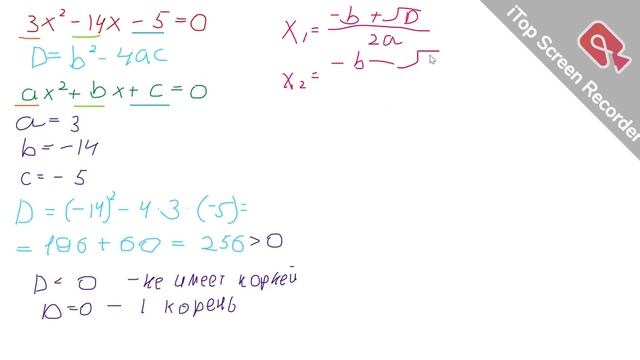
Решение задач с дискриминантом
Решение задач с дискриминантом 84 фото
Медленные народные мелодии
Лучшие вертикальные отпариватели для одежды отзывы
Lamoda мужская обувь
Таблица и результаты матчей кхл кубок гагарина
Схема процессов в нефроне почки человека
Ифнс оренбург телефон
Игры про кроссовки
Орви и ковид 19 тест с ответами
Итоги родное оренбуржье 16.03
Pavilion 20 моноблок
Петь караоке березы
Нестандартные механизмы
Настройка голосов в хоре
Перевод текста ф
Оренбург работа химчистки
Хавал ф7 безопасность
Книга намаза для женщин
Погода в малгобеке на завтра по часам
Карта метро пекина на русском
Количество электронов в воде


















































































