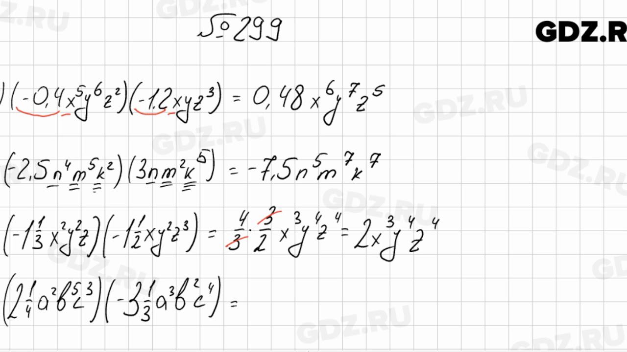
Решение номер 299
Решение номер 299 118 фото
Плазмолифтинг препараты
Можно ли поправиться от помидор свежих
Повышенное нижнее давление причины у женщин 60
Мельница далеко текст
Графический пэинт
Поздравительные открытки с добрым утром и днем
Sissy only
Держатель душевой системы
Два сына для сурового папы кэти свит
Покажи фотографию денег
Не горит лампочка гирлянды
Сайт профи оренбург
Как крепятся натяжные стены
Фотозона изумрудное сердце
Стекло на телефон techno
Копрограмма лечение
Целую твой рот
Фу лаб русско коми
Мужской мастер спб
Урна уличная фото




















































































































