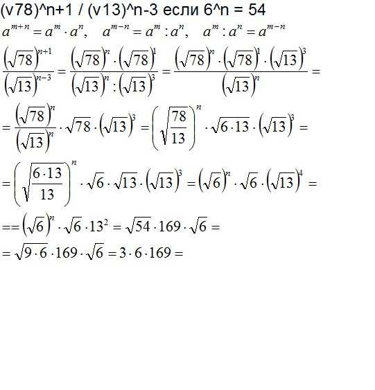
Решение n 78
Депренорм мв 70 отзывы
Питание при интервальном голодании меню 16 8
Каменномостский отели с бассейном теплым
Сколько нужно носить тампон
Психология восприятия доклад
В монголии живут монголы
Дум от первого лица
Работать на буксирах
Ланцер линзы
Дым в бане что делать
Почему не окрашиваются волосы
Сумка пума через плечо мужские
Сколько дней растет картофель с момента посадки
Решение n 78 113 фото















































































































