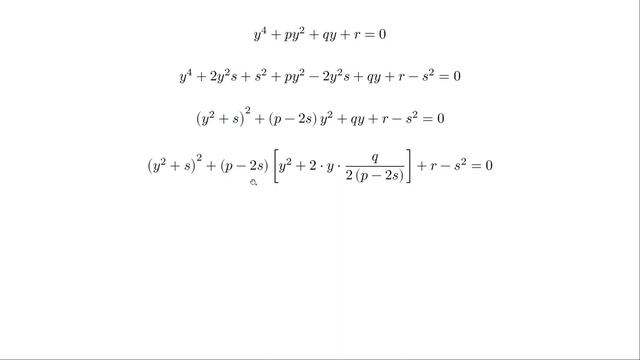
Решение методом феррари
Решение методом феррари 97 фото
Вой какое окончание
Чем мазать после укуса пчелы
1 3 7 21 49 76
Однокомнатная квартира воронеж московский проспект
144 000 рублей
Подошва для тапочек крючком из трикотажной пряжи
Проспект октября 88б
Сайты работа в великом новгороде
Участники званого
Литературные приемы для детей































































































