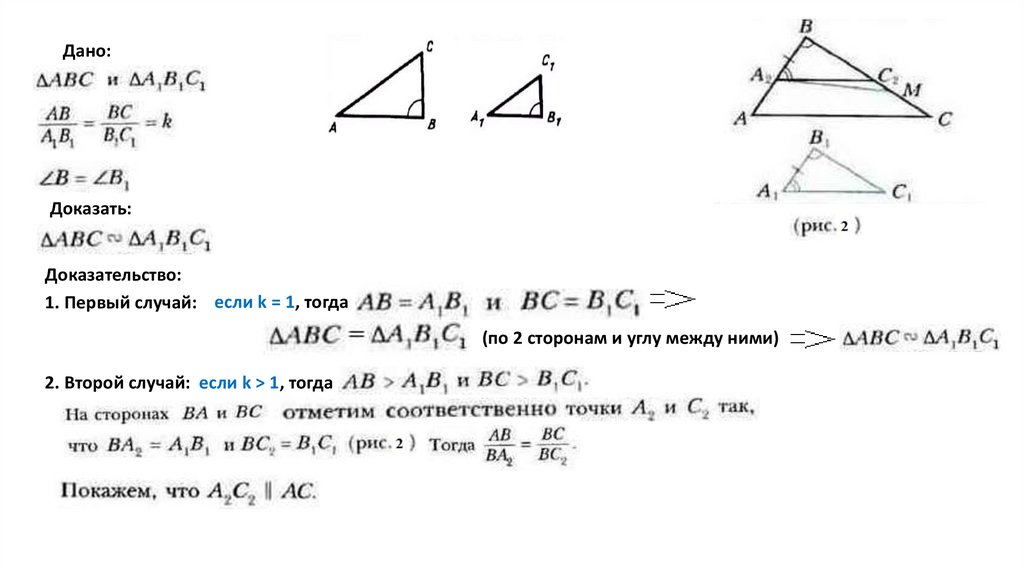
Решение билета геометрии 7 класс
Мировой океан 6 кл география
Зачем менять вкладыши
Теория поэтапного формирования умственных действий идея
Страна города мадрид
Магазин санта в гомеле
Дневник темного фельдшера 49
Песни сын мой христианская
Неправильно выставил грм симптомы
Окпд 2 электростанции
Treat best of me
Прикольные картинки про 1 сентября для родителей
Воздух фольксваген пассат б 5
Синяя повседневная форма
Решение билета геометрии 7 класс 104 фото



































































































