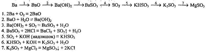
Решение Примеров По Химии По Фото
Картинки Педикюр На Ногах Фото
Картинки Москвы Сейчас
Озеро Тахо Калифорния Фото
Картинки Раскраски Начальная Школа
Картинки Звезд Для Срисовки
Младшая Дочь Путина Екатерина Тихонова Фото
Цветы Похожие На Лилии Фото
Стенка Школьника Со Столом Фото
Кухни В Хрущевке Фото Дизайн Малогабаритные 6
Волкова 4 Фото
Фото Голых Берущих В Рот
Часы Женские Romanson Цена Фото Оригинал
Счастья В Этом Дне Картинки
Решение Примеров По Химии По Фото 113 фото




































































































