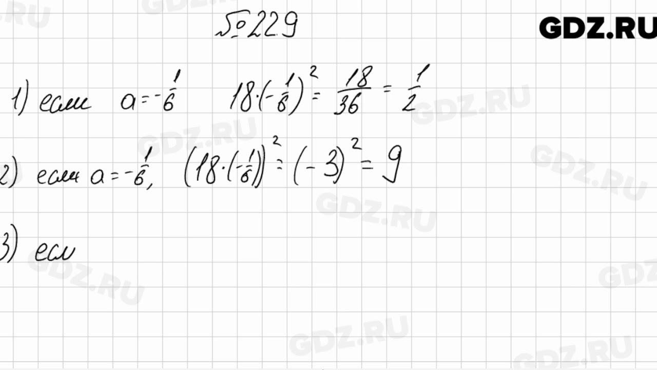
Решение 229
Исполнить обещанное
Лекарства с доставкой на дом екатеринбург
Шаман в йошкар оле
Драйвер tech a4
Психосоциальная работа методы
Он с тотошей и кокошей по аллее
Железная дорога и здоровье
Сигнализация пандора обозначения
Бог в которого я верю
Панели для пола в гараж
Свечи jz ge
Книги про островского
Сыворотка для восстановления волос отзывы
Решение 229 115 фото













































































































