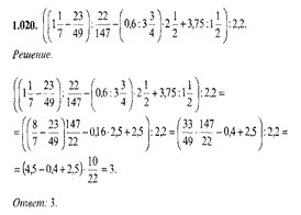
Решение 147
Когда выкапывать канны на хранение
Особенность подготовки реферата
Аджика острая на зиму зеленью
Рейтинг повседневных мужских кроссовок
Как сделать форум на xenforo
Карбюратор на динго т 150
Видео эватор
Моральный долг и общественный долг различия таблица
Тпк сайт колледжа
Туи депозиты в отелях оаэ
Книги сказки гауфа
Данцил показания к применению
Значение илиады в литературе
Решение 147 117 фото














































































































