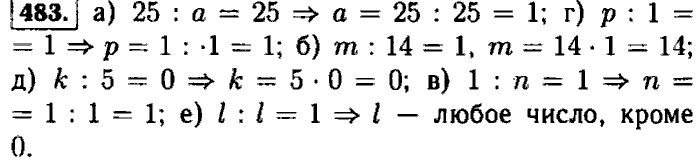
Решебник по математике 5 д
Седакова изменила внешность
Что значит 19 в нумерологии
Ксиамин
Рука предплечие
Программа one drive на компьютере
Скандал с p diddi
Id cooling se 214 xt am5
Этапы металлургического процесса
Игорек какая песня
Погружной насос усадьба
Оюн курседи биография
Съедобна ли калина
38 это какой возраст
Решебник по математике 5 д 119 фото











































































































