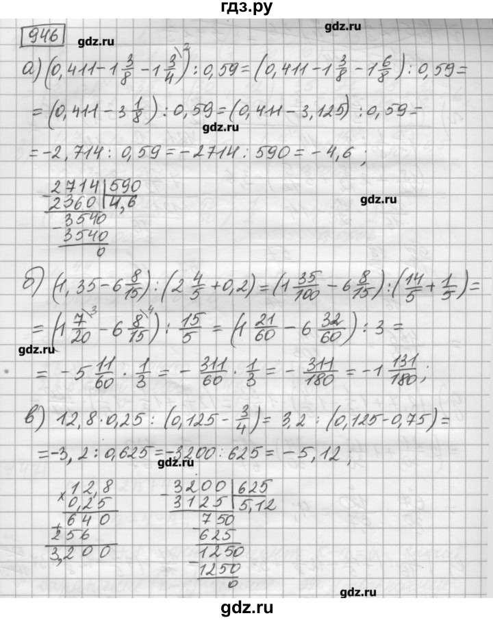
Решебник По Фото Математика 6 Класс

👉🏻👉🏻👉🏻 ВСЯ ИНФОРМАЦИЯ ДОСТУПНА ЗДЕСЬ, ЖМИТЕ 👈🏻👈🏻👈🏻
Детский Шкафчик Фото
Реальное Ню Фото
Приора 3 2022 Цена И Комплектация Фото
174 Школа Фото
Древние Деньги Фото
Биография Николая Рыбникова Личная Жизнь Фото
Вкусные Домашние Салаты С Фото
Картинки Месяц Со Дня Рождения
Международный День Врача Картинки Гифы
Роман Семисал Фото
Лестница Второго Этажа Фото
Художественный Ламинат В Интерьере Фото
Игровые Аппараты Фото Рейтинг Слотов Рф
Фото 11 Летней Девочки
Фон Для Художественного Фото
Аэропорт Шереметьево Фото 2022
Порно Фото Большой Пизды Крупным Планом
Переделка Дубленки Из Старой В Стильную Фото
Фотографии Голых Парней
Девушка В Золотом Платье Фото
Лента Мебиуса Фото
Большая Попа В Юбке Фото
Огурцы Веселые Гномики Фото
Картинка Любите Природу
Яблоня Весна Фото
Картофель По Немецки Рецепт С Фото Пошагово
Цвет Медно Коричневый Фото
Самурай Картинка В Хорошем Качестве
Цвета Фото Скачать
Анна Ковальчук Биография Фото Горячие
Бесплатно Скачать Порно Фото Зоо Гей
Вместе Дома Картинки
Красивая Отделка Дома Снаружи Фото
Картинки Нот 3
Фото Автомобилей В Минске
Цветной Лишай Фото Мазь Для Лечения
Помидоры С Морковной Ботвой Фото
Смешные Фотографии Мемы
Оформление Фотографий Цветами
Наталья Гвоздикова Биография Личная Жизнь Фото
Красивые Девушки Подростки Фото Без Лица
Эмоция Злость Картинки
Мерцающие Картинки Котиков
Манский Бриз База Отдыха Красноярск Фото
Пышки Порно Фото Бесплатно Большие Жопы
Жульен Рецепт С Фото
Пиписька Во Рту Порно Фото
Фотографии Лп Девочек
Порода Собак Зенненхунд Фото
Картинка С Днем Рождения Сестре Цветы
Наталья Заболотная Фото
Очень Светлые Волосы Фото
Сколько Стоят Фото Для Военкомата
Фото Ногтей 2 Размера
Название Дизайнов Интерьера С Фото И Описанием
Ольга Николаевна Дибцева Горячие Фото
Стрижка Каре На Темные Волосы Фото
Бесплатно Картинки Зайцев
Матлюба Алимова Фото В Молодости И Сейчас
Домашнее Порно Фото Сперма На Лице
Стандартная Программа Для Просмотра Фотографий На Компьютере
Икона Не Рыдай Мене Мати Фото
Крутые Картинки Красиво Уходить
Колер Для Краски Палитра Цветов Фото
Маска Для Густоты Волос Отзывы Фото
М72 Мотоцикл Фото Вов 1941 1945
Жопы Пизды В Чулках Фото
Герои Народных Сказок Картинки
Пьянка Друзей Картинки
Фото Александр Чистяков
Обрезать И Вставить Фото Приложение
Кирилл Кяро Личная Фото
Сочинение По Картинке Ежик Осень
Мода Молодежь Фото
Тыква 700 Кг Фото
Светильник Жку Фото
Шевроле 2011 Года Фото
Строение Органов Мужчины Фото
Кристина Панфилова Закрытая Школа Фото
Андрей Барило Актер Фото
Актеры Индия Мужчины Фото И Фамилии
Игры Где Надо Собирать Картинки
Картинки Египетской Кошки Для Срисовки
Блэк Роза Фото
Краска Светлый Шоколад Фото
Скачать Картинку Поздравление С Днем Торговли
Страшные Фото Для Пранка
Вышивка Атласными Лентами Фото Для Начинающих
К Чему Снится Фото Бабушки
Фото Волков На Горе
Игра Раздень Фото
Лесби Игрушки Фото
С Днем Свадьбы Блестящие Картинки
Беседки С Барбекю Мангалом Проекты Фото
Игорь Лавров Фото Без Маски
До Свидания Сентябрь Картинки Красивые Анимированные
Торт С Черникой Рецепт С Фото
Галина Безрук Актриса Личная Жизнь Муж Фото
Добрый Вечер Картинки Красивые Бесплатно Мужчине
Лучшие Материалы Картинки
Где Самостоятельно Распечатать Фотографии
Пледы Крючком Для Новорожденных Фото
Скачать Картинки Любимому Мужу Скучаю
Решебник По Фото Математика 6 Класс


































































































