Решебник По Алгебре Колягин

Решебник По Алгебре Колягин
Решебник Окружающий Мир Рабочая
Готовое Домашнее Задание Математика Моро
Гдз По Математике Рабочая Тетрадь 1 Часть
Гдз По Математике Класс Чесноков
Гдз По Русскому 5 Класс Школа
Решебник По Литературе 5 Класс Учебник Коровина
Гдз Spotlight Virginia Evans
Гдз По Русскому 4 Класс Вента Граф
Учебники И Решебники Скачать
Литература 6 Класс 2 Часть Решебник
Решебник По 5 Русский Язык Львова
Гдз По Биологии 10 Класс Каменский 2020
Решебник По Английскому Языку Страница
Вторая Часть Второй Класс Решебник
Гдз 4 Класс Тетрадь Байкова
Гдз По Русскому Языку 5 Класс Полонский
Гдз По Английскому 11 Класс Forward Вербицкая
Гдз 7 Класс Ладыженская 378
Гдз По Русскому 5 Г
Гдз Еремеева 9
Гдз 4 Класс Русский Калинина 1 Часть
Гдз По Математике Муравина
Английский Язык Решебник Биболетова Денисенко Трубанева
Математика 2 Класс Планета Знаний Решебник
Афанасьева Восьмой Класс Гдз
Гдз Решебник По Математике 2 Моро
Гдз По Геометрии 9 Класс 741
Гдз Англ 4 Класс Рабочая Тетрадь Быкова
Гдз По Русскому Языку 7 Класс Э
Русский Язык 4 Класс Нечаева Яковлева Гдз
Гдз 8 Русский Баранов Ладыженская
Гдз По Математике Автор Петерсон
Решебник 3 Класс 5
Петерсон 1 Класс Решебник
Гдз Тетрадь Тренажер Бунимович 5
Решебник По Географии Тетрадь 6
Гдз Немецкий 5 Класс Автор
Решебник По Геометрии 7 11 Класс Погорелов
Гдз По Математике Истерт 6
Гдз По Английскому Starlight 6
Гдз По Русскому 7 Ефремова
Гдз По Англ 3 Афанасьева Учебник
Гдз По Английскому Ваулина Подоляко Эванс
Гдз По Математике Страница 25 Номер
Гдз Английский Язык 8 Класс Мария Вербицкая
Решебник По Алгебре Геометрии 7 Класс Ершова
Решебник Учебника Спотлайт 2 Класс
Гдз По Английскому City Stars 10
Гдз По Русскому Языку 11 Класс Бунеев
Гдз По Рус Яз 8 Класс Быстрова
Гдз По Русскому 9 Класс Упражнение 27
Дидактические Материалы 6 Класс Потапов Шевкин Гдз
Гдз От Путина По Английскому
Гдз Математика 5 Шварцбург Часть 1
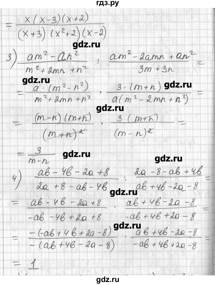
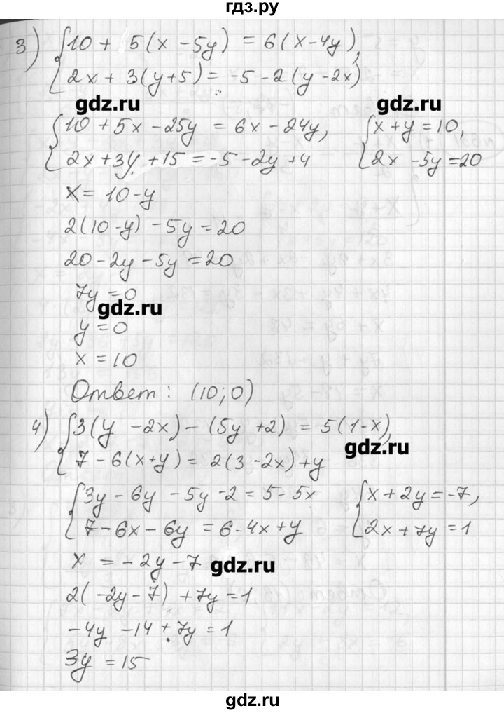
ГДЗ: готовые ответы по алгебре за 7 класс, решебник Колягин Ю .М ., часть 1, 2 онлайн решения на GDZ .RU .
Преодолевать возникающие затруднения поможет решебник к учебнику "Алгебра и начала математического анализа 10 класс" Колягин Программа по алгебре в десятом классе весьма сложна и требует не просто внимательного подхода, но и крайней сосредоточенности .
ГДЗ алгебра 7 класс Колягин , Ткачева, Фёдорова Просвещение . Получить хорошие знания алгебре не столь и легко, так как предмет очень А если у семиклассника есть трудности с изучением — этих затрат потребуется существенно больше . Решебник по алгебре за 7 класс . .
Авторы: Колягин Ю .М ., Ткачева М .В ., Федорова Н .Е ., Шабунин М .И . Издательство: Просвещение . Отличным помощником в этом будет онлайн-решебник по алгебре за 7 класс (авторы: Колягин Ю .М ., Ткачева М .В ., Федорова Н .Е ., Шабунин М .И .) .
Решебник (ГДЗ) по Алгебре за 7 (седьмой) класс авторы: Колягин, Ткачева, Федорова, Шабунин издательство Просвещение, год . Упростить выполнение домашних заданий для школьников поможет онлайн-решебник по алгебре для 7 класса (авторы: Колягин Ю .М . .
Авторский ГДЗ решебник Колягин Ткачёва 8 класс поможет улучшить оценки в школе как во время уроков благодаря мобильной версии, так К сожалению, не все имеют постоянный доступ к таким материалам, поэтому успеваемость в 8 классе по алгебре может немного "хромать" .
Сборник «ГДЗ по Алгебре 10 класс Учебник Колягин, Ткачева Просвещение» создан так, что уловить суть сможет любой, опираясь на интуицию . Преимущества использования решебника . С ГДЗ по алгебре любой ученик сможет быстрее приблизиться к пониманию науки, подтянуть . .
Алимов, Колягин , Сидоров . Просвещение . год . ГДЗ (решебник ) по алгебре 7 класс Алимов, Колягин, Сидоров ответы из учебника . Семиклассники от изучения простых математических законов переходят к разбору сложных абстрактных алгебраических понятий . .
Алгебра - и снова в бой . В начале седьмого класса кажется просто невероятным, что когда-нибудь можно научиться разбираться в линейных Что есть в решебнике . Авторы существенно переработали подход к пособию . «ГДЗ по Алгебре 7 класс Колягин» подробно и доступно . .
Гдз и решебник Алгебра 9 класс Колягин, Ткачева, Фёдорова - Учебник . Издательство: «Просвещение» . Почему ребёнок получает плохие оценки по алгебре . В седьмом классе дети начинают изучать вместо математики алгебру и геометрию .
ГДЗ по алгебре 7 класс , авторы: , Колягин Ю .М ., Ткачева М .В ., Федорова Н .Е ., Шабунин М .И ., Просвещение 2020-2021 год . ГДЗ к дидактическим материалам по алгебре за 7 класс Ткачёва М .В .
Предмет: Алгебра . год . Количество разделов: 10 . Стоит отметить, что у нас живет лучшее ГДЗ по алгебре 7 класс (Колягин, Ткачева) . Учитесь успешно и интересно, с профессиональным решебником, проживающим на нашем VIPGDZ!
ГДЗ по алгебре 7 класс Алимов, Колягин, Сидоров, Федоров . Путаница с разложением многочлена на множители? Решебник пригодится семиклассникам, желающим без ошибок делать домашние задания и не тратить на них слишком много времени .
В этом разделе представлены гдз и решебник по алгебре для 7 класса в соответствии с задачником автора Колягин . Ответы и подробное решение с объяснениями задач, упражнений и контрольных работ .
Их любимчиком стал решебник по алгебре , созданный к известному школьному пособию Ю .М . Колягина . В первую очередь, следует познакомиться со строением ответов . Этот справочник по алгебре на Вклассе специально был разработан к учебнику года .
ГДЗ Колягин , Ткачева 7 класс . Решебник по Алгебре 7 класс, Колягин, Ткачева . М .: .
ГДЗ 7 класс Алгебра Алимов, Колягин, Сидоров . Решебник, ответы и решение задач из учебника .
Решебник ГДЗ по алгебре содержит ответы на задачи, представленные в учебнике по алгебре для 10 класса авторов Ю . М . Колягина , Ю . В . Сидорова, М . В . Ткачевой, Н . Е . Федоровой, М . И . Шабунина . В решебнике есть задачи с разным уровнем сложности .
По зосу «» не найдено ни одного решебника . Введите в строку поиска только фамилию автора и класс . Нимер: макарычев 8 . Добавить книги в список » По зосу «» не найдено ни одной книги . Алгебра . 7 класс . Алимов Ш . А ., Колягин Ю . М .
Рабочая тетрадь «Алгебра . 7 класс» Ю . М . Колягина, М . И . Шабунина, Н . Е . Федоровой, М . В . Ткачевой . Издательство «Просвещение» . Хорошим ориентиром правильности выполненных упражнений станет решебник ГДЗ от ЯГДЗ .
ГДЗ: готовые ответы по алгебре за 7 класс, решебник Колягин Ю .М ., часть 1, 2 онлайн решения на GDZ .RU .
Преодолевать возникающие затруднения поможет решебник к учебнику "Алгебра и начала математического анализа 10 класс" Колягин Программа по алгебре в десятом классе весьма сложна и требует не просто внимательного подхода, но и крайней сосредоточенности .
ГДЗ алгебра 7 класс Колягин , Ткачева, Фёдорова Просвещение . Получить хорошие знания алгебре не столь и легко, так как предмет очень А если у семиклассника есть трудности с изучением — этих затрат потребуется существенно больше . Решебник по алгебре за 7 класс . .
Авторы: Колягин Ю .М ., Ткачева М .В ., Федорова Н .Е ., Шабунин М .И . Издательство: Просвещение . Отличным помощником в этом будет онлайн-решебник по алгебре за 7 класс (авторы: Колягин Ю .М ., Ткачева М .В ., Федорова Н .Е ., Шабунин М .И .) .
Решебник (ГДЗ) по Алгебре за 7 (седьмой) класс авторы: Колягин, Ткачева, Федорова, Шабунин издательство Просвещение, год . Упростить выполнение домашних заданий для школьников поможет онлайн-решебник по алгебре для 7 класса (авторы: Колягин Ю .М . .
Авторский ГДЗ решебник Колягин Ткачёва 8 класс поможет улучшить оценки в школе как во время уроков благодаря мобильной версии, так К сожалению, не все имеют постоянный доступ к таким материалам, поэтому успеваемость в 8 классе по алгебре может немного "хромать" .
Сборник «ГДЗ по Алгебре 10 класс Учебник Колягин, Ткачева Просвещение» создан так, что уловить суть сможет любой, опираясь на интуицию . Преимущества использования решебника . С ГДЗ по алгебре любой ученик сможет быстрее приблизиться к пониманию науки, подтянуть . .
Алимов, Колягин , Сидоров . Просвещение . год . ГДЗ (решебник ) по алгебре 7 класс Алимов, Колягин, Сидоров ответы из учебника . Семиклассники от изучения простых математических законов переходят к разбору сложных абстрактных алгебраических понятий . .
Алгебра - и снова в бой . В начале седьмого класса кажется просто невероятным, что когда-нибудь можно научиться разбираться в линейных Что есть в решебнике . Авторы существенно переработали подход к пособию . «ГДЗ по Алгебре 7 класс Колягин» подробно и доступно . .
Гдз и решебник Алгебра 9 класс Колягин, Ткачева, Фёдорова - Учебник . Издательство: «Просвещение» . Почему ребёнок получает плохие оценки по алгебре . В седьмом классе дети начинают изучать вместо математики алгебру и геометрию .
ГДЗ по алгебре 7 класс , авторы: , Колягин Ю .М ., Ткачева М .В ., Федорова Н .Е ., Шабунин М .И ., Просвещение 2020-2021 год . ГДЗ к дидактическим материалам по алгебре за 7 класс Ткачёва М .В .
Предмет: Алгебра . год . Количество разделов: 10 . Стоит отметить, что у нас живет лучшее ГДЗ по алгебре 7 класс (Колягин, Ткачева) . Учитесь успешно и интересно, с профессиональным решебником, проживающим на нашем VIPGDZ!
ГДЗ по алгебре 7 класс Алимов, Колягин, Сидоров, Федоров . Путаница с разложением многочлена на множители? Решебник пригодится семиклассникам, желающим без ошибок делать домашние задания и не тратить на них слишком много времени .
В этом разделе представлены гдз и решебник по алгебре для 7 класса в соответствии с задачником автора Колягин . Ответы и подробное решение с объяснениями задач, упражнений и контрольных работ .
Их любимчиком стал решебник по алгебре , созданный к известному школьному пособию Ю .М . Колягина . В первую очередь, следует познакомиться со строением ответов . Этот справочник по алгебре на Вклассе специально был разработан к учебнику года .
ГДЗ Колягин , Ткачева 7 класс . Решебник по Алгебре 7 класс, Колягин, Ткачева . М .: .
ГДЗ 7 класс Алгебра Алимов, Колягин, Сидоров . Решебник, ответы и решение задач из учебника .
Решебник ГДЗ по алгебре содержит ответы на задачи, представленные в учебнике по алгебре для 10 класса авторов Ю . М . Колягина , Ю . В . Сидорова, М . В . Ткачевой, Н . Е . Федоровой, М . И . Шабунина . В решебнике есть задачи с разным уровнем сложности .
По зосу «» не найдено ни одного решебника . Введите в строку поиска только фамилию автора и класс . Нимер: макарычев 8 . Добавить книги в список » По зосу «» не найдено ни одной книги . Алгебра . 7 класс . Алимов Ш . А ., Колягин Ю . М .
Рабочая тетрадь «Алгебра . 7 класс» Ю . М . Колягина, М . И . Шабунина, Н . Е . Федоровой, М . В . Ткачевой . Издательство «Просвещение» . Хорошим ориентиром правильности выполненных упражнений станет решебник ГДЗ от ЯГДЗ .



















