Решебник По Алгебре 9 Мерзляк

Решебник По Алгебре 9 Мерзляк
Гдз По Русскому Языку Учебник Канакина
Гдз Test Booklet Spotlight
Гдз По Биологии 9 Кл Пасечник
Гдз По Биологии Девятый Класс Пономарева
Гдз По Математике Второй Класс Волкова
Гдз 7 Гуру 3 Класс
Гдз По Алгебре 9 Класс Дорофеев 30
Гдз Математика 3 Класс Страница 80
Решебник По Русскому 1 Класс Учебник
Фельдман 8 Класс Гдз
Гдз По Английскому Языку 9 Класс Милли
Английский Язык 11 Класс Starlight Учебник Гдз
Гдз По Литературе 5 Класс Зеленый Учебник
Решебник По Алгебре 11 Арефьева Пирютко 2020
Решебник Истер 8 Класс
Гдз По Английскому 6 Класс Учебник Спотлинг
Решебник Задач Аналитической Геометрии
Гдз Четвертый Класс По Математике Первая Часть
Решебник Михеевой
Гдз По Русскому 5 Класс Дрофа 2011
Гдз По Тестам По Биологии
Гдз Четвертый Класс Рамзаева
Гдз По Истории Таблица
Гдз Информатика 5 Босова 2 Часть
Решебник Спотлайт 11
Решебник По Истории 7 Класс Учебник Андреев
Гдз Горизонты 9 Класс Рабочая
Гдз Решебник По Английскому 3
Решебник По Окружающему Миру 2 Рабочая
Гдз По Алгебре 10 11 Колмогоров 2011
Гдз По Химии 11 Класс Рудзитис 2011
Решебник По Географии 11 Класс Гладкий Николина
Гдз Путина Русский 6 Разумовская
Гдз Рабочая Тетрадь Ханнанова 8 Класс
Егэ По Английскому Решебник
Решебник Математика 6 Класс Пирютко Лобанов
Математика 3 Класс Учебник Моро 1 Гдз
Гдз По Математике 9 Класс Полонский
Гдз 4 Класс Все Предметы Скачать Бесплатно
Гдз По Алгебре 7 Класс Нюдский
Гдз По Алгебре 9 Мордкович Углубленное Изучение
Гдз По Математике Второго Класса Моро
Русский Язык 6 Класс Учебник Баранов Гдз
Решебник По Английскому Языку 11 Афанасьева Михеева
Английский Язык 10 Класс Комарова Гдз Бесплатно
Гдз По Экономике 9 Класс Липсиц Учебник
Гдз По Математике 2класс 1 Часть Дорофеев
Гдз По Русскому 6 Класс Упражнение 33
Литературное Чтение 4 Класс Учебник Кац Гдз
Решебник По Русскому 5 Класс 2
Гдз По Русскому 7 Класс Капинос
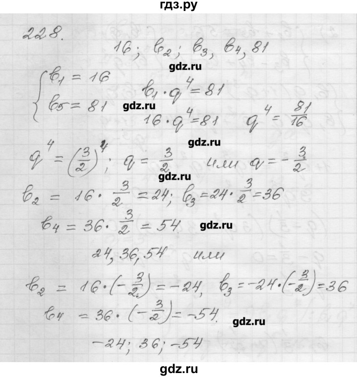
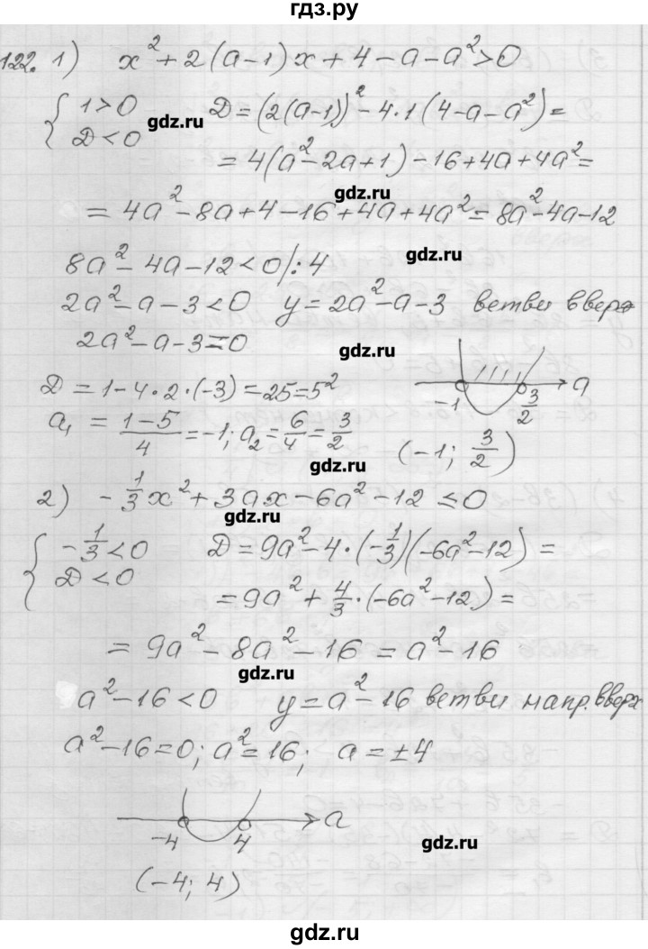
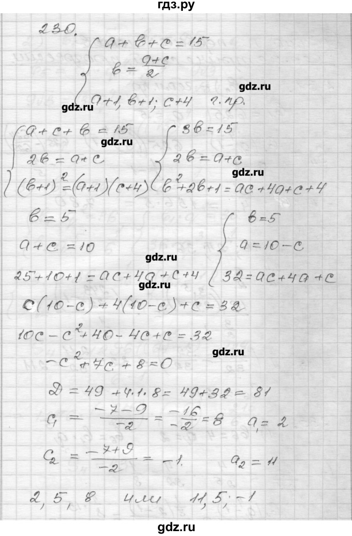
Решебник по алгебре за 9 класс авторы Мерзляк, Полонский, Якир издательство Вентана-Граф . Девятиклассники интенсивно изучают курс алгебры, который ляжет в основу блока заданий на обязательном для всех выпускников экзамене по математике .
ГДЗ: готовые ответы по алгебре за 9 класс, решебник Мерзляк, ФГОС, онлайн решения на GDZ .RU . Авторы : А .Г . Мерзляк, В .Б . Полонский, М .С . Якир . Издательство: Вентана-граф 2019 . Тип книги: Учебник .
Характеристика ГДЗ, алгебра , 9 класс, Мерзляк рабочая тетрадь . Коллектив авторов удостоверился, что содержание книги полностью пересекается с федеральными государственными стандартами (ФГОС) . Поэтому решебник по алгебре для 9 класса (авторы . .
Поэтому рекомендуется проверять свои решения с помощью ГДЗ Мерзляк 9 класс, чтобы быть уверенным в правильности ответа и получить отличную оценку в школе .
Поэтому решебник к учебнику "Алгебра 9 класс" Мерзляк станет весьма полезным изданием, способным в кратчайшие сроки дать полное представление о той теме, которую требуется изучить .
В «ГДЗ по Алгебре 9 класс Мерзляк» наглядно представлены всевозможные задачи, в том числе и дополнительные Решебник к учебнику «Алгебра 9 класс Мерзляк» специально разрабатывался для того, чтобы дети смогли восполнить белые пятна в своем образовании .
Преимущества решебника по алгебре для 9 класса от Мерзляка . Семиклассникам нанимают репетитором довольно редко . Они обходятся использованием ГДЗ по алгебре за 9 класс авторы: А .Г . Мерзляк, В .Б . Полонский, М .С . Якир . Этого хватает, чтобы понять тему, усвоить новый . .
ГДЗ по алгебре 9 класс Мерзляк – это универсальный решебник . Он включает в себя ответы на большую часть практических заданий по данной дисциплине . Пособие поможет вам получать отличные оценки по домашней работе, а также проверять собственное решение без вреда . .
Алгебра 9 класс . Тип: Учебник . Авторы: Мерзляк, Полонский, Якир . Помимо этого, в программу девятого класса включено повторение материала, изученного по алгебре на протяжении всех лет ее изучения - с седьмого класса .
Мерзляк , Полонский, Якир . «Вентана-граф» . год . ГДЗ по алгебре 9 класс Мерзляк , Полонский, Якир онлайн решебник к учебнику углублённый уровень . Бог создал некоторые уроки настолько скучными, что даже спать во время этих занятий тоскливо .
Решебники (ГДЗ) для школьников . ГДЗ (решебник ) к учебнику Мерзляк А .Г . и др . Алгебра 9 класс (углубленное изучение) ФГОС ОНЛАЙН . 01 .09 .201924 .02 .2020 . Домашняя работа по алгебре за 9 класс к учебнику авторов А .Г . Мерзляк, В .Б . Полонский, М .С . Якир .
Решебник (ГДЗ) Алгебра 9 клас А .Г . Мерзляк, В .Б . Полонський, М .С . Якір (2019 рік) . Об использовании решебника . Чтобы без труда взяться за сотрудничество с решебником по алгебре, ребятам всего лишь нужно посетить наш портал .
Благо, что сегодня на помощь ученикам приходят так называемые готовые домашние задания, проще говоря, решебник, который можно смотреть Нимер, такой сборник как ГДЗ по алгебре , 9 класс Мерзляк, имеются ввиду ответы на задания из учебника за девятый класс под . .
Готовые Домашние Задания по Алгебре 9 класс . Мерзляк, Полонский .
По зосу «» не найдено ни одного решебника . Введите в строку поиска только фамилию автора и класс . Нимер: макарычев 8 . Стара програма: Алгебра . 9 класс . Мерзляк A . Г ., Полонский B . Б ., Якир М . С .
Решебник к дидактическим материалам по алгебре для 10 класса Шабунина М .И . ОНЛАЙН . гдз (решебники ) в свободном доступе к учебникам, дидактическим материалам по математике, алгебре , геометрии Мерзляка А .Г ., Полонского В .Б ., Якира М .С . для 5,6,7,8,9,10,11 классов .
На GDZpluse .ru вы найдёте ответы к задачам и контрольным вопросам из учебника по алгебре за 9 класс Мерзляка, Полонского, Якир со всем решением . Ответы и решебник к учебнику .
Видео решение к номеру 12 по алгебре за 9 класс, авторов А .Г . Мерзляк, В .Б . Полонский, М .С . Якир Более подробное гдз к этому заданию можно найти здесь https . .
Москва Издательский центр «Вентана-Граф» ББК 22 .141я721 М52 Учебник включён в федеральный перечень Мерзляк А .Г . М52 Алгебра ; 9 класс : учебник для учащихся общеобразовательных организаций / А .Г . Мерзляк, В .Б . Полонский, М .С . Якир .
Чтобы читать и смотреть Учебник Алгебра 9 класс Мерзляк Полонский Якир, нажмите на нужные страницы . В комментариях вы можете сверяться и делиться готовыми ответами на домашнее задание, создавая свой интерактивный решебник к сложным упражнениям .
Решебник по алгебре за 9 класс авторы Мерзляк, Полонский, Якир издательство Вентана-Граф . Девятиклассники интенсивно изучают курс алгебры, который ляжет в основу блока заданий на обязательном для всех выпускников экзамене по математике .
ГДЗ: готовые ответы по алгебре за 9 класс, решебник Мерзляк, ФГОС, онлайн решения на GDZ .RU . Авторы : А .Г . Мерзляк, В .Б . Полонский, М .С . Якир . Издательство: Вентана-граф 2019 . Тип книги: Учебник .
Характеристика ГДЗ, алгебра , 9 класс, Мерзляк рабочая тетрадь . Коллектив авторов удостоверился, что содержание книги полностью пересекается с федеральными государственными стандартами (ФГОС) . Поэтому решебник по алгебре для 9 класса (авторы . .
Поэтому рекомендуется проверять свои решения с помощью ГДЗ Мерзляк 9 класс, чтобы быть уверенным в правильности ответа и получить отличную оценку в школе .
Поэтому решебник к учебнику "Алгебра 9 класс" Мерзляк станет весьма полезным изданием, способным в кратчайшие сроки дать полное представление о той теме, которую требуется изучить .
В «ГДЗ по Алгебре 9 класс Мерзляк» наглядно представлены всевозможные задачи, в том числе и дополнительные Решебник к учебнику «Алгебра 9 класс Мерзляк» специально разрабатывался для того, чтобы дети смогли восполнить белые пятна в своем образовании .
Преимущества решебника по алгебре для 9 класса от Мерзляка . Семиклассникам нанимают репетитором довольно редко . Они обходятся использованием ГДЗ по алгебре за 9 класс авторы: А .Г . Мерзляк, В .Б . Полонский, М .С . Якир . Этого хватает, чтобы понять тему, усвоить новый . .
ГДЗ по алгебре 9 класс Мерзляк – это универсальный решебник . Он включает в себя ответы на большую часть практических заданий по данной дисциплине . Пособие поможет вам получать отличные оценки по домашней работе, а также проверять собственное решение без вреда . .
Алгебра 9 класс . Тип: Учебник . Авторы: Мерзляк, Полонский, Якир . Помимо этого, в программу девятого класса включено повторение материала, изученного по алгебре на протяжении всех лет ее изучения - с седьмого класса .
Мерзляк , Полонский, Якир . «Вентана-граф» . год . ГДЗ по алгебре 9 класс Мерзляк , Полонский, Якир онлайн решебник к учебнику углублённый уровень . Бог создал некоторые уроки настолько скучными, что даже спать во время этих занятий тоскливо .
Решебники (ГДЗ) для школьников . ГДЗ (решебник ) к учебнику Мерзляк А .Г . и др . Алгебра 9 класс (углубленное изучение) ФГОС ОНЛАЙН . 01 .09 .201924 .02 .2020 . Домашняя работа по алгебре за 9 класс к учебнику авторов А .Г . Мерзляк, В .Б . Полонский, М .С . Якир .
Решебник (ГДЗ) Алгебра 9 клас А .Г . Мерзляк, В .Б . Полонський, М .С . Якір (2019 рік) . Об использовании решебника . Чтобы без труда взяться за сотрудничество с решебником по алгебре, ребятам всего лишь нужно посетить наш портал .
Благо, что сегодня на помощь ученикам приходят так называемые готовые домашние задания, проще говоря, решебник, который можно смотреть Нимер, такой сборник как ГДЗ по алгебре , 9 класс Мерзляк, имеются ввиду ответы на задания из учебника за девятый класс под . .
Готовые Домашние Задания по Алгебре 9 класс . Мерзляк, Полонский .
По зосу «» не найдено ни одного решебника . Введите в строку поиска только фамилию автора и класс . Нимер: макарычев 8 . Стара програма: Алгебра . 9 класс . Мерзляк A . Г ., Полонский B . Б ., Якир М . С .
Решебник к дидактическим материалам по алгебре для 10 класса Шабунина М .И . ОНЛАЙН . гдз (решебники ) в свободном доступе к учебникам, дидактическим материалам по математике, алгебре , геометрии Мерзляка А .Г ., Полонского В .Б ., Якира М .С . для 5,6,7,8,9,10,11 классов .
На GDZpluse .ru вы найдёте ответы к задачам и контрольным вопросам из учебника по алгебре за 9 класс Мерзляка, Полонского, Якир со всем решением . Ответы и решебник к учебнику .
Видео решение к номеру 12 по алгебре за 9 класс, авторов А .Г . Мерзляк, В .Б . Полонский, М .С . Якир Более подробное гдз к этому заданию можно найти здесь https . .
Москва Издательский центр «Вентана-Граф» ББК 22 .141я721 М52 Учебник включён в федеральный перечень Мерзляк А .Г . М52 Алгебра ; 9 класс : учебник для учащихся общеобразовательных организаций / А .Г . Мерзляк, В .Б . Полонский, М .С . Якир .
Чтобы читать и смотреть Учебник Алгебра 9 класс Мерзляк Полонский Якир, нажмите на нужные страницы . В комментариях вы можете сверяться и делиться готовыми ответами на домашнее задание, создавая свой интерактивный решебник к сложным упражнениям .



















