Решебник Алимов 10 11 Класс

Решебник Алимов 10 11 Класс
Готовые Домашние Задания Пропись
Решебник Окружающий Мир Плешаков 1 Часть
Готовые Домашние Задания Школа России
Гдз З Алгебри 8 Клас Мерзляк 2020
Гдз Математика Геометрия 6 Класс Учебник
Гдз По Русскому 6 Класс Кулибаба Ладыженская
Решебник Зубаревой 5 Класс Математика
Гдз Путина По Геометрии Мерзляк
Информатика 3 Учебник Гдз
Гдз Мой Решебник Скачать На Пк
Гдз По Английскому Языку 8 Класс Ридер
Гдз По Окружающий Мир Данилов
Мордкович 6 Класс Решебник
Гдз По Английскому Языку 7 Звездный
Гдз Муравин 5
Гдз По Английскому Учебник Кузовлева 8
Решебник По Английскому Языку 11 Биболетова 2020
Гдз По Контрольной Работы Волкова
Гдз Решебник Ладыженская 8 Класс
Геометрия 7 Класс Гдз 2020
Гдз Математика 6 Клас
Гдз По Биологии 6 Класс Исаева
Гдз По Английскому Языку Сборник 4 Класс
Английский Язык В Фокусе Ваулина Гдз
Гдз По Русскому 9 Класс Никитина
10 Кл Гдз Англ Рейнбоу
Гдз По Геометрии Класс Сборник
Бархударов Крючков 9 Класс Гдз
Гдз По Англ 8 Класс Лапа
Гдз По Литературе 10 Класс Лебедев 1
Решебник Рудницкой Рабочая Тетрадь 1 Класс
Гдз Поа Алгебре 7 Класс Мерзляк
Решебник По Обществознанию Класс Рабочая Тетрадь
Решебник Английский 3 2 Часть
Гдз По Русскому Языку Десятый Класс Гольцова
Гдз Химия Рабочая Тетрадь Габрусева
Физическая Культура 11 Класс Лях Гдз
Гдз 3 Быкова Учебник
Гдз 7 Потапов
Гдз Русскому 4 Класс Моро 2
Гдз Рейнбоу Инглиш 2 Класс Рабочая
Гдз По Математике 6 7
Решебник По Истории 9 Класс Сороко Цюпа
Гдз По Математике Номер 980
Решебник По Химии Восьмой Класс Рудзитис
Гдз Английский 3 Год Обучения Афанасьева
Гдз По Географии 5 Лобжанидзе
Гдз По Русскому Языку Книга 3
Гдз По Языку 9 Класс Биболетова
Гдз Английский Spotlight 7 Рабочая Тетрадь
Гдз Английский 8 Класс Михеева Тетрадь
Гдз По Математике Миракова Бука Учебник
Гдз Физика 7 Класс Исаченкова Лещинский
Алимов . 10 -11 классы» станет для Вас замечательным другом и помощником . Да-да, действительно другом! Ведь он будет помогать Вам совершенно бесплатно .
Ш .А . Алимов , Ю .М . Колягин, М .В . Ткачева . Решебник (ГДЗ) по Алгебре за 10 ‐11 (десятый‐одиннадцатый ) класс авторы: Алимов, Колягин, Ткачева издательство Просвещение, год .
Это ГДЗ по алгебре за 10 -11 класс Алимов разбирает все тринадцать глав из учебника . Здесь найдутся ответы и на упражнения по Любой десятиклассник без труда разберётся с материалом из данного решебника и сможет пользоваться им при решении заданий в классе .
Издание ГДЗ к учебнику по алгебре для 10 -11 классов Ш . А . Алимова содержит полный свод правильных ответов ко всем Все эти темы достаточно подробно описаны, решебник содержит не только сухие ответы для сверки, также в нем имеются пометки и комментарии .
Доскональность решений в ГДЗ по алгебре 10 -11 класс способствует тому, что даже малейшие нюансы не ускользнут от внимания подростков, а Для этой цели как нельзя лучше подойдет решебник к учебнику "Алгебра 10 -11 класс " Алимов, ведь именно в этом пособии подростки . .
На протяжении одиннадцати классов каждый ученик сталкивается с испытаниями . Кому-то труднее всего заводить друзей, у кого-то Все, что нужно – это дополнительное время, тетрадь и решебник к учебнику Ш .А . Алимова , Ю .М . Колягина и М .В . Ткачевой ФГОС за 10 , 11 класс .
ГДЗ по алгебре за 10 и 11 класс Алимов, Колягин, Сидоров . Работать с пособием очень просто . Решебник состоит из 15 разделов, в них собрана вся полезная информация за 2 года учебы .
Авторы: Ш .А . Алимов , Ю .М . Колягин, М .В . Ткачева . Онлайн решебник по Алгебре для 10 ‐11 класса Ш .А . Алимов, Ю .М . Колягин, М .В . Ткачева, гдз и ответы к домашнему заданию .
Алимов , Колягин, Сидоров . «Просвещение» . 2007- год . ГДЗ (решебник ) по алгебре 10 -11 класс Алимов, Колягин, Сидоров . Искать ответы к математическим задачам в старшей школе все труднее, ведь от простых операций с числами и выражениями дети переходят к сложным . .
ГДЗ алгебра и начала математического анализа 10 класс Алимов Просвещение . Подготовку к обязательному ЕГЭ по математике лучше В числе актуальных пособий эксперты называют алгебру и начала математического анализа для 10 класса , составленную Алимовым Ш . А . .
10 -11 класс » ГДЗ . Алимов Ш . А . Ответы к учебнику по алгебре и началу анализа для 10 -11 класса Алимов .
Алимов , алгебра 10 -11 класс . Сам учебник «Алгебра и начала математического анализа», составленный Алимовым Шавкатом Арифджановичем, рекомендован Министерством образования и науки Российской Федерации и предназначен для общеобразовательных . .
Решебник к учебнику "Алгебра и начала математического анализа" за 10 -11 класс авторов Алимов Ш .А ., Колягин Ю .М ., Ткачева М .В ., Федорова Н ., Шабунин М . -2019 годов издания . В предложенных ответах есть как правильный ответ, так и правильный алгоритм решения . .
Данный решебник Алимов по алгебре в 10 -11 класс позволяет всем слабым ученикам списывать все решения абсолютно бесплатно и онлайн . Наслаждайтесь ответами .
Автор: Алимов Ш .А . Пособие содержит подробный разбор заданий из учебника по алгебре и началам анализа для 10 -11 классов Ш .А . Алимова, Ю .Н . Колягина, Тихонова А .Н . . Приводятся основные сведения по каждому разделу, алгоритмы решения типовых задач, ключи, ответы и . .
10 -11 классы : учеб . для общеобразоват . учреждений: базовый уровень» . В пособии решены и в большинстве случаев подробно разобраны задачи и упражнения за 10 класс из учебника «Алгебра и начала математического анализа .
ГДЗ по алгебре 10 класс Алимов 1999 г онлайн . Блок рекомендуемого контента . Понравился сайт поделись с друзьями . и добавь в закладки, нажми .
Алгебра . Класс . 10 -11 . Учебник . Happy English 3 . Рабочая тетрадь 2, 10 -11 класс, Т .Б .Клементьева, J .A . Shannon . Английский язык .
Решебник по алгебре для 10 -11 класса (авторы: Ш . А . Алимов, Ю . М . Колягин, М . В . Ткачева) является одним из самых эффективных пособий . Он содержит хорошо структурированный материал, который прописан понятным и доступным языком . Важные определения и формулы . .
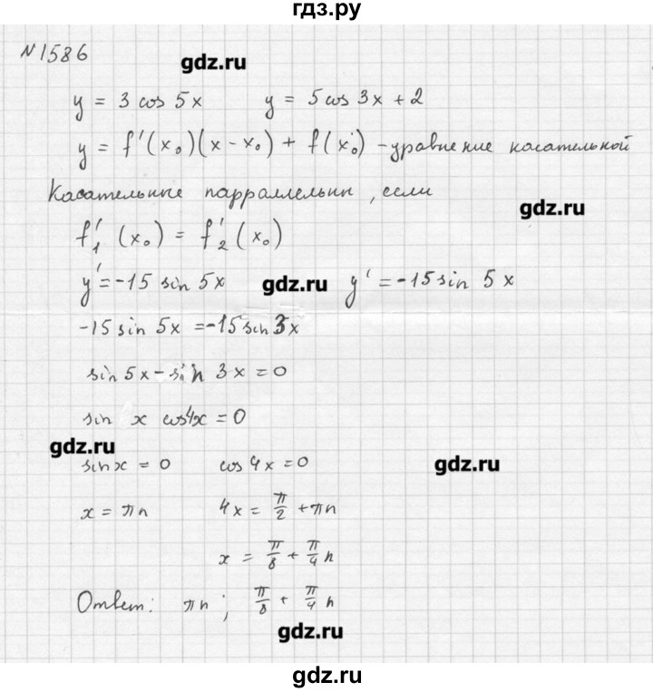
Решебник . Алгебра и начала математического анализа . 10 -11 классы . 10 класс № 1-775 Глава I . Действительные числа §1 . Целые и рациональные числа §2 . Действительные числа §3 . Бесконечно убывающая геометрическая профессия §4 . Арифметический корень натуральной . .
Алимов . 10 -11 классы» станет для Вас замечательным другом и помощником . Да-да, действительно другом! Ведь он будет помогать Вам совершенно бесплатно .
Ш .А . Алимов , Ю .М . Колягин, М .В . Ткачева . Решебник (ГДЗ) по Алгебре за 10 ‐11 (десятый‐одиннадцатый ) класс авторы: Алимов, Колягин, Ткачева издательство Просвещение, год .
Это ГДЗ по алгебре за 10 -11 класс Алимов разбирает все тринадцать глав из учебника . Здесь найдутся ответы и на упражнения по Любой десятиклассник без труда разберётся с материалом из данного решебника и сможет пользоваться им при решении заданий в классе .
Издание ГДЗ к учебнику по алгебре для 10 -11 классов Ш . А . Алимова содержит полный свод правильных ответов ко всем Все эти темы достаточно подробно описаны, решебник содержит не только сухие ответы для сверки, также в нем имеются пометки и комментарии .
Доскональность решений в ГДЗ по алгебре 10 -11 класс способствует тому, что даже малейшие нюансы не ускользнут от внимания подростков, а Для этой цели как нельзя лучше подойдет решебник к учебнику "Алгебра 10 -11 класс " Алимов, ведь именно в этом пособии подростки . .
На протяжении одиннадцати классов каждый ученик сталкивается с испытаниями . Кому-то труднее всего заводить друзей, у кого-то Все, что нужно – это дополнительное время, тетрадь и решебник к учебнику Ш .А . Алимова , Ю .М . Колягина и М .В . Ткачевой ФГОС за 10 , 11 класс .
ГДЗ по алгебре за 10 и 11 класс Алимов, Колягин, Сидоров . Работать с пособием очень просто . Решебник состоит из 15 разделов, в них собрана вся полезная информация за 2 года учебы .
Авторы: Ш .А . Алимов , Ю .М . Колягин, М .В . Ткачева . Онлайн решебник по Алгебре для 10 ‐11 класса Ш .А . Алимов, Ю .М . Колягин, М .В . Ткачева, гдз и ответы к домашнему заданию .
Алимов , Колягин, Сидоров . «Просвещение» . 2007- год . ГДЗ (решебник ) по алгебре 10 -11 класс Алимов, Колягин, Сидоров . Искать ответы к математическим задачам в старшей школе все труднее, ведь от простых операций с числами и выражениями дети переходят к сложным . .
ГДЗ алгебра и начала математического анализа 10 класс Алимов Просвещение . Подготовку к обязательному ЕГЭ по математике лучше В числе актуальных пособий эксперты называют алгебру и начала математического анализа для 10 класса , составленную Алимовым Ш . А . .
10 -11 класс » ГДЗ . Алимов Ш . А . Ответы к учебнику по алгебре и началу анализа для 10 -11 класса Алимов .
Алимов , алгебра 10 -11 класс . Сам учебник «Алгебра и начала математического анализа», составленный Алимовым Шавкатом Арифджановичем, рекомендован Министерством образования и науки Российской Федерации и предназначен для общеобразовательных . .
Решебник к учебнику "Алгебра и начала математического анализа" за 10 -11 класс авторов Алимов Ш .А ., Колягин Ю .М ., Ткачева М .В ., Федорова Н ., Шабунин М . -2019 годов издания . В предложенных ответах есть как правильный ответ, так и правильный алгоритм решения . .
Данный решебник Алимов по алгебре в 10 -11 класс позволяет всем слабым ученикам списывать все решения абсолютно бесплатно и онлайн . Наслаждайтесь ответами .
Автор: Алимов Ш .А . Пособие содержит подробный разбор заданий из учебника по алгебре и началам анализа для 10 -11 классов Ш .А . Алимова, Ю .Н . Колягина, Тихонова А .Н . . Приводятся основные сведения по каждому разделу, алгоритмы решения типовых задач, ключи, ответы и . .
10 -11 классы : учеб . для общеобразоват . учреждений: базовый уровень» . В пособии решены и в большинстве случаев подробно разобраны задачи и упражнения за 10 класс из учебника «Алгебра и начала математического анализа .
ГДЗ по алгебре 10 класс Алимов 1999 г онлайн . Блок рекомендуемого контента . Понравился сайт поделись с друзьями . и добавь в закладки, нажми .
Алгебра . Класс . 10 -11 . Учебник . Happy English 3 . Рабочая тетрадь 2, 10 -11 класс, Т .Б .Клементьева, J .A . Shannon . Английский язык .
Решебник по алгебре для 10 -11 класса (авторы: Ш . А . Алимов, Ю . М . Колягин, М . В . Ткачева) является одним из самых эффективных пособий . Он содержит хорошо структурированный материал, который прописан понятным и доступным языком . Важные определения и формулы . .
Решебник . Алгебра и начала математического анализа . 10 -11 классы . 10 класс № 1-775 Глава I . Действительные числа §1 . Целые и рациональные числа §2 . Действительные числа §3 . Бесконечно убывающая геометрическая профессия §4 . Арифметический корень натуральной . .



















