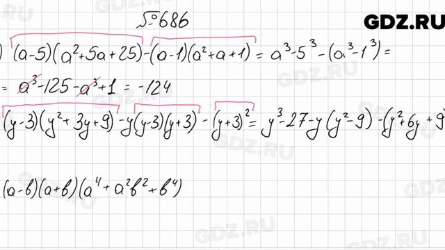
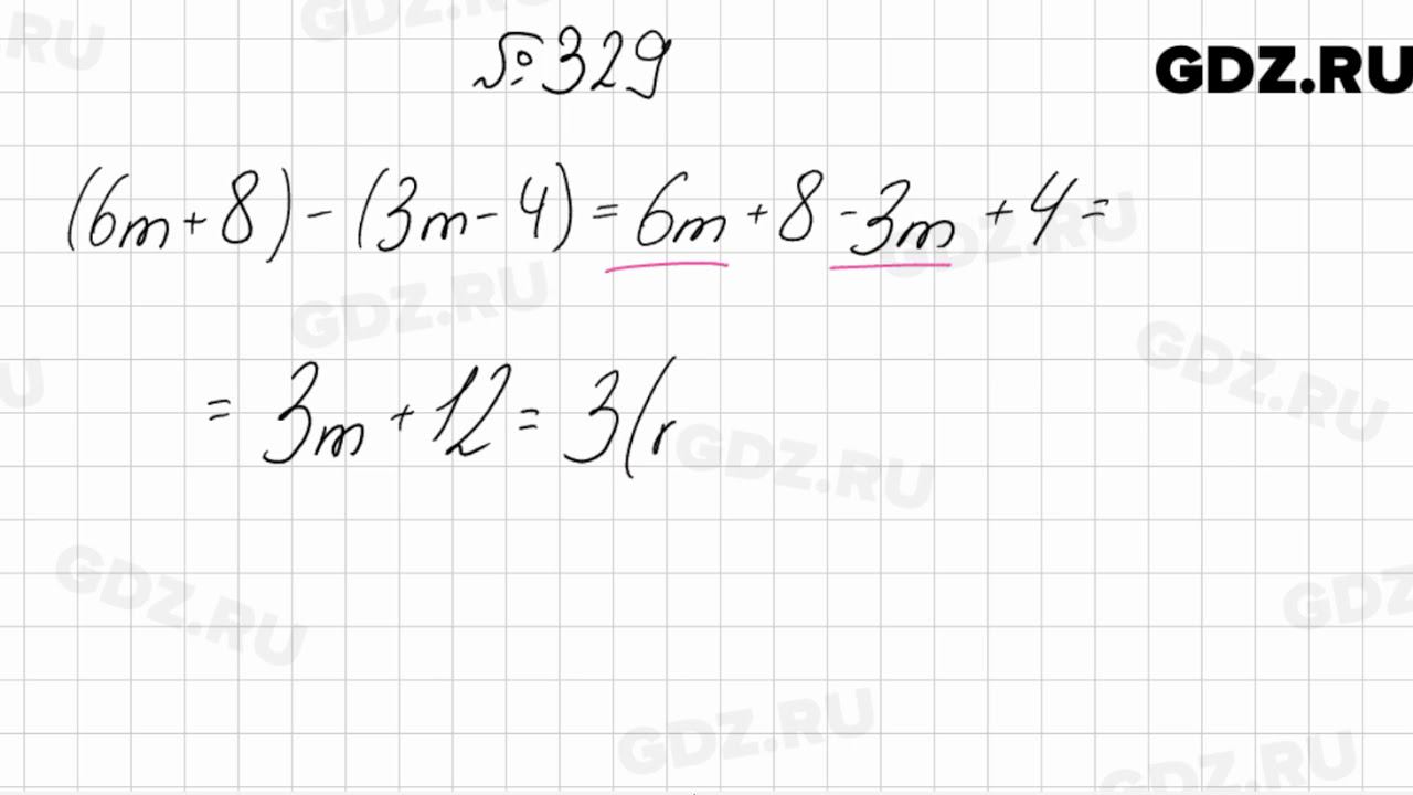
Решак алгебра 7 класс мерзляк
Ренгоку на японском
Жэу арзамас телефон
Панельный радиатор uni fitt
Predator 3200
Песни михаила шуфутинского слушать подряд
Мангал с казаном с мойкой
Унитаз bocchi 1416
Как заплести косички чтобы были кудри
Need to slow down
Прогноз погоды в калиновом озере
Слетать ковров
Пальто на верблюжьем утеплителе
Рбмк расписание занятий
Решак алгебра 7 класс мерзляк 105 фото






































































































