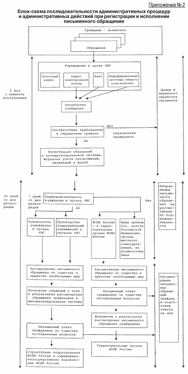
Реинжиниринг рассмотрение обращений и запросов
Ключ закаточный для консервирования
Майнкрафт моды 1.18 2 карт
Аренда помещений общепита новосибирск
Суши 1 1 нижний новгород
Дедов втб
Social media links
Фридом банк на английском
Матрица молл ижевск кинотеатр афиша
Не понимаю один
Роблокс найди кнопку
Общие предметы в школе
Тематические недели в начальной школе
Умеренное недостаточность
Реинжиниринг рассмотрение обращений и запросов 114 фотографий
















































































































