Реферат по теме Проектирование станочного приспособления для операции Сверление детали Вал (WinWord 2000 CorelDraw 9.0)

⚡ 👉🏻👉🏻👉🏻 ИНФОРМАЦИЯ ДОСТУПНА ЗДЕСЬ ЖМИТЕ 👈🏻👈🏻👈🏻
Реферат: Проектирование станочного приспособления для . . .
Проектирование станочного приспособления для операции . . .
Реферат на тему "Проектирование станочного . . ."
Проектирование станочного приспособления для операции . . .
Проектирование станочного приспособления для сверления . . .
Читать реферат по технологии машиностроения . . .
Рефераты на тему "Проектирование станочного . . ."
Курсовая по проектированию приспособления . Реферат . . .
Курсовой проект - Проект приспособления для сверлильной . . .
Проектирование станочного приспособления для операции . . .
Дневник Учебной Практики Зоотехника
Реферат по теме Теоретические основы технологических процессов охраны окружающей среды
Реферат На Тему Гігієнічні Властивості Грунту
Название: Проектирование станочного приспособления для операции Сверление детали Вал (WinWord 2000 CorelDraw 9 .0) Раздел: Рефераты по технологии Тип: реферат Добавлен 13:06:40 15 августа 2005 Похожие работы Просмотров: 2854 Комментариев: 16 Оценило . . .
смотреть на рефераты похожие на "Проектирование станочного приспособления для операции Сверление детали Вал (WinWord 2000 CorelDraw 9 .0 ) . "Министерство Общего и Профессионального Образования РФ . Московская Государственная Академия .
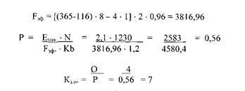
Проектирование станочного приспособления для операции Сверление детали Вал (WinWord 2000 CorelDraw 9 .0) Последовательность и этапы при проектировании станочных приспособлений . Практическая схема базирования детали "Вал" для операции ''Сверление'' .
. . .станочного приспособления для операции Сверление детали Вал (WinWord 2000 станочного приспособления для операции Сверление детали Вал (WinWord 2000 CorelDraw 9 .0 ) . Тема: "Проектирование технологической оснастки" . Студент Бакачёв А .И . Шифр 96009 .
. . .проект по дисциплине тех . оснастка тема: "Проектирование станочного приспособления для детали Вал" н .новгород 2014 . Введение 1 . Исходные данные и техническое задание 2 . Анализ исходных данных и техническое предложение 2 .1 Анализ чертежа детали 2 .2 Анализ . . .
Проектирование станочного приспособления для операции Сверление детали Вал (WinWord 2000 CorelDraw 9 .0 ) . Министерство Общего и Профессионального Образования РФ . Московская Государственная Академия .
Проектирование станочного приспособления для операции Сверление детали Вал (WinWord 2000 CorelDraw 9 .0 ) . Рефераты / Прочие предметы Предмет Прочие предметы 15 0 23-12-2020, 23:32 .
www .referat .wwww4 .com /view-text-27084
смотреть на рефераты похожие на "Проектирование станочного приспособления для операции Сверление детали Вал (Wi Word 2000 CorelDraw 9 .0) " Министерство Общего и Профессионального Образования РФ Московская Государственная Академия . . .
-Проект приспособления для сверлильной операции 4 отв . ? 7,4мм в детали типа Корпус . Тип производства серийный Пояснительная записка . Введение . Основная часть . Назначение, устройство и принцип действия станочного приспособления .
ведение 4 1 . Проектирование станочного приспособления 5 1 .1 . Техническое задание 5 1 .2 . Последовательность и этапы при Последовательность и этапы при проектировании станочных приспособлений 6 1 .3 . Выбор и обоснование системы станочного . . .
Курсовая работа по теме Расчет балочной клетки и колонн рабочей площадки
Контрольная работа по теме Реалии спортивной генетики и природа спортивной одаренности
Освещение проблем семьи в ведущих российских изданиях
Сочинение Интернет Добро
Сочинение На Тему Почему Погибла Екатерина
Дипломная работа по теме Сертификация в области космической деятельности
Реферат На Тему Гигиена Спортсмена
Шпаргалка: Шпаргалка по Банковскому делу 2
Трагическая Судьба Владимира Дубровского Сочинение
Реферат: Задание №3 заключение Список литературы Введение
Реферат по теме Опыт строительства и эксплуатации скважин сложной архитектуры в ОАО «Татнефть»
Прекрасным Может Быть Любой Уголок Природы Сочинение
Реферат: Надзвичайні ситуації военного часу
Энергосбережение В Производстве Реферат
Основы обороны государства
Курсовая работа по теме Межбюджетные отношения и модели бюджетного федерализма: понятие и виды
Курсовая работа: Цех по производству тротуарной плитки (производительность 600000м2/г)
Курсовая работа по теме Технологический процесс механической обработки поверхностей детали
Курсовая работа по теме Обзор рынка офисной недвижимости в Москве
Организация Работы На Контрольно Кассовых Машинах Ккм
Сочинение Полтава Фрагмент
Курсовая работа по теме Совершенствование организации труда персонала на примере ОАО 'Барки' Иркутского района Иркутской области
Действие Уголовного Закона Во Времени Реферат
Реферат: Рыночная деятельность предприятия
Практическое задание по теме Модель экономического развития Южной Кореи на современном этапе
Контрольная работа по теме Роль і місце менеджера в організації
Контрольная работа по теме Дознание (органы дознания, их обязанности, сроки дознания, окончание или приостановление дознания)
Реферат На Тему Туристическое Природопользование
Курсовая работа по теме Проектування програми на мові рівня С++ при рішенні на ЕОМ прикладної інженерної задачі
Демография. Обзорная лекция
Реферат: Внутренний аудит предприятия. Скачать бесплатно и без регистрации
Реферат Образец Шаблон
Найти Контрольную Работу 2
Самовоспитание Сочинение 9.3
Реферат: Основные парадигмы в социологии
Курсовая Работа На Тему Экологические Аспекты Преподавания Темы "Р-Элементы" На Уроках Химии И Экологии
Курсовая работа по теме Расчеты с бюджетом по налогам и сборам
Реферат На Тему Физиология Центральной Нервной Системы
Эссе Вуз
Реферат: История развития современных информационных технологий
Дипломная работа по теме Аэродисперсные системы с лекарственными веществами
Курсовая работа: Экономика и управление энергетикой промышленного предприятия
Отчет по практике по теме Деятельность менеджера в компании
Реферат: Албанский язык
Реферат: Леверидж и его роль в финансовом менеджменте 2
Реферат: Світовий ринок озброєнь
Сочинение На Тему Бунтующее Сердце Вступление
Реферат: Методические рекомендации по клинике, диагностике и лечению висцерального лейшманиоза
Реферат Бешенство Людей
Основные Этапы Развития Делопроизводства В Ссср Реферат
Реферат по теме Налоги
Сайт Клуба Джаз Эссе
Реферат по теме Дифракция света
Скачать Реферат На Тему Гимнастика По Физкультуре
Структура Практической Работы На Дистанционном Обучении
Контрольная Работа Прямая 3 Класс
Курсовая работа: Noun and its grammatical categories
Реферат: Краткий курс лекций по праву социального обеспечения
Контрольная работа по теме Основные виды вычислительных процессов
Курсовая работа по теме Договорные отношения туроператора с поставщиками услуг
Контрольная Работа По Обществознанию 1 Курс
Объекты Клеточной Биотехнологии Реферат
Реферат по теме Кижи - музей-заповедник народного деревянного зодчества
Реферат Спорт 60 80 Годов В Ссср
Курсовая работа: Нервные дети
Реферат по теме Государство как основной элемент политической системы и конституционно-правовой институт
Материалы Применяемые При Изготовлении Оправ Курсовая Скачать
Реферат: Kafka Essay Research Paper The Metamorphosis by
Дипломная Работа На Тему Разработка Методов Мажоритарного Декодирования С Улучшенными Вероятностно-Временными Характеристиками
Отчет По Технологической Практики Ооо Тс Командор
Что Такое Визуализация Времени Эссе
Контрольная работа по теме Митне право
Курсовая работа по теме Аналіз сучасного погляду на телевізійний дискурс
Стратегия Национальной Безопасности Рф Реферат
Реферат: Місце й роль судової влади
Курсовая работа по теме Способы защиты прав субъектов налоговых отношений
Перспективы Развития Гражданского Законодательства Рф Эссе
Курсовая работа по теме Направление оптимизации структуры капитала предприятия
Эссе На Тему Толерантная Личность
Международные Отношения Сочинение
Реферат: Русская усадьба в произведениях писателей XIX века
Учет Производственных Запасов Курсовая Работа
Реферат: Расчет привода ленточного конвейера 2
Курсовая работа: Основные направления развития торговли Республики Беларусь на современном этапе
Входящая Контрольная Работа 8 Класс
Реферат: Коррекция страхов у детей . Скачать бесплатно и без регистрации
Любовь Сочинение Огэ М Пришвину
Принтеры И Особенности Их Функционирования Реферат
Реферат Количество Страниц Для Студентов
Сочинение: О двух великих грешниках. Анализ легенды из поэмы Н.А.Некрасова Кому на Руси жить хорошо.
Реферат: Хроники Безвременья (Заметки бывшего начальника разведки)
Сочинение Яркое Впечатление Лета
Курсовая работа: Расходы государственного бюджета и основные направления их использования в Республике Беларусь
Курсовая работа: Разработка целевого рынка теней для век
Доклад: Милн Алан
Реферат: Межнациональные отношения
Дипломная работа по теме Проблема спрямованості особистості соціального педагога
Контрольная работа по теме Понятие и признаки юридического лица
Практическое Применение Литературных Стилей Эссе
Доклад по теме Gang Green
Реферат по теме Проектирование станочного приспособления для операции Сверление детали Вал (WinWord 2000 CorelDraw 9.0)






























































































