Реферат по теме Биотрансформация ксенобиотиков

👉🏻👉🏻👉🏻 ВСЯ ИНФОРМАЦИЯ ДОСТУПНА ЗДЕСЬ ЖМИТЕ 👈🏻👈🏻👈🏻
Биотрансформация ксенобиотиков . Реферат . Биология . 2011-09-29
Биотрансформация ксенобиотиков
Биотрансформация ксенобиотиков
Ксенобиотики - Скачать Реферат - Рефераты - Elena270386
Реферат на тему "Ксенобиотики"
Презентация на тему: БИОТРАНСФОРМАЦИЯ, БИОДЕСТРУКЦИЯ И . . .
Биотрансформация ксенобиотиков и загрязняющих окружающую . . .
Полиморфизм генов системы биотрансформации ксенобиотиков и . . .
1 .5 .4 . Биотрансформация и выведение ксенобиотиков . . .
Биотрансформация . Виды трансформаций . Метаболическая . . .
Реферат по теме Выделение чистых культур целлюлозолитических микроорганизмов из короедов
Реферат На Тему Брахманизм
Реферат На Тему Международное Движение Технологий
В ряде случаев в ходе биотрансформации ксенобиотиков образуются вещества, способные совершенно иначе действовать на организм, чем исходные агенты . Так, некоторые спирты (этиленгликоль), действуя целой молекулой, вызывают седативно-гипнотический эффект (опьянение . . .
В ряде случаев в ходе биотрансформации ксенобиотиков образуются вещества, способные совершенно иначе действовать на организм, чем исходные агенты . Так, некоторые спирты (этиленгликоль), действуя целой молекулой, вызывают седативно-гипнотический эффект (опьянение . . .
Биотрансформация ксенобиотиков Реферат Помощь в написании Узнать стоимость моей работы Аналогично ареноксидам на клетки действуют N-оксиды, нитрозамины, гидроксиламины, также являющиеся канцерогенами и мутагенами .
Биотрансформация ксенобиотиков . . .встречающиеся в нем, получили название чужеродных или ксенобиотиков (от греческих слов xenos . . . 18 Стр . 1 Пр
Цель данной работы состоит в рассмотрении свойств ксенобиотиков, определяющих их токсичность, определении возможности и исследовании путей биологической деградации ксенобиотиков и токсикантов микроорганизмами, механизмов ускорения биодеградации поллютантов в . . .
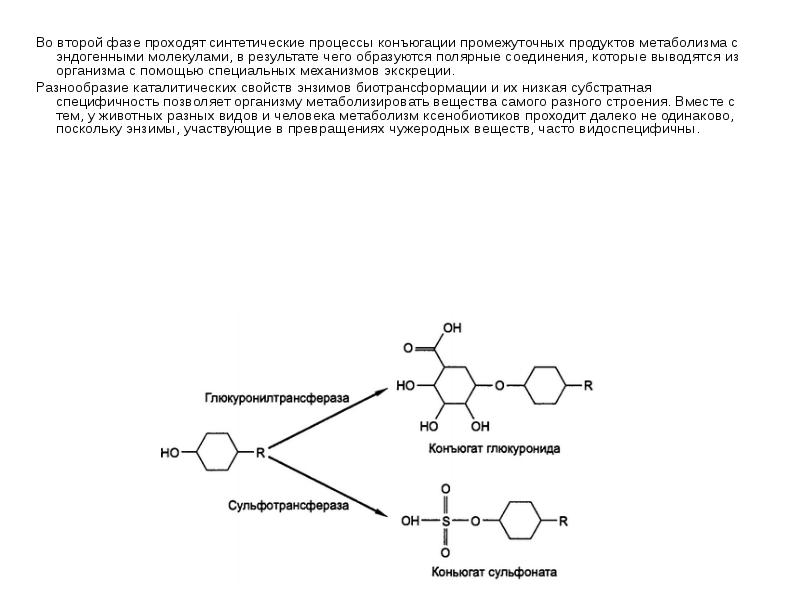
Слайд 3 . Пути трансформации ксенобиотиков (в зависимости от конечного результата): Полная деградация (минерализация, полная деструкция); Неполная деградация (трансформация, частичная минерализация, частичная деструкция); Связывание поллютантов или их метаболитов с . . .
Биотрансформация ксенобиотиков и загрязняющих окружающую среду веществ Пример готового реферата по предмету: Медицина
Текст научной работы на тему «Полиморфизм генов системы биотрансформации ксенобиотиков и его роль в индивидуализации фармакотерапевтической поддержки лиц, подвергающихся тяжелым психофизическим нагрузкам»
1 .5 .4 . Биотрансформация и выведение ксенобиотиков: Большинство ксенобиотиков подвергаются . . .
Биотрансформация (превращение) лекарственных веществ в организме (метаболическая трансформация, конъюгация) - превращение лекарственных . . .
Принципы Гражданского Права Курсовая
Реферат: Аграрно-тваринницький комплекс та його вплив на навколишнє середовище
Контрольная работа по теме Логистические системы в теории и на практике
Реферат по теме Социально-экономические основы, сущность и теории прогнозирования и планирования в условиях рыночной экономики
Реферат На Тему Європейське Мовознавство Епохи Cередньовіччя І Відродження
Контрольная работа по теме Функциональная блокада позвоночного столба
История воздухоплавания и авиации
Реферат: Характеристика Карагандинской области
Контрольная работа: Английский язык 2
Моя Будущая Профессия Воспитатель Детского Сада Сочинение
Контрольная Работа 2 По Английскому 8 Класс
Проблемно Поисковые Технологии Обучения Реферат
Решу Егэ Структура Сочинения
Сочинение На Тему Случай
Реферат: Fiber Optics Essay Research Paper Fiber OpticsFiber
Контрольная Работа На Тему Прцессуальные Издержки В Уголовном Процессе
Курсовая Работа На Тему Учет Целевого Финансирования
Сочинение Про Духовный Мир Человека
Ахматова Собрание Сочинений
Российская империя на рубеже XIX XX вв
Отчет По Производственной Практике Общественного Питания
Эссе По Обществознанию Огэ
Механизм Индивидуального Преступного Поведения Диссертация Пдф
Дипломная Работа На Тему История Села Кольчугино
Значение Безопасности В Современном Мире Эссе
Опасный Вид Спорта Эссе
Реферат На Тему Терапия Психологических Травм
Реферат На Тему Создание Web-Страницы
Курсовая работа по теме Роль учреждений дополнительного образования в приобщении детей подростков к народному творчеству
Антивирусная защита
Перенесут Ли Итоговое Сочинение 2022
Реферат: Законность в Вооруженных Силах, способы ее обеспечения
План Ч.Дауэса.
Реферат: Вольная борьба, метода шлефовки коронных приёмов. Скачать бесплатно и без регистрации
Курсовая работа по теме Анализ деятельности Министерства образования Тульской области
План Написания Сочинения Егэ
Сочинение На Тему Государственный Русский Язык
Хороший Отзыв На Мою Курсовую Работу
Курсовая работа по теме Вбивство через необережність
Реферат На Тему Социальная Свобода И Политическая Власть
Реферат: Многоагентные системы. Процесс самоорганизации в многоагентных системах
Реферат: Відсоткова зміна ціни
Реферат: Химический состав звезд
Курсовая работа: Епоха морських подорожей в Середньовіччі
Дипломная работа по теме Анализ эффективности операций с ценными бумагами
Виды Кормов Для Сельскохозяйственных Животных Реферат
Доклад: Музыкальные символы России
Реферат: Психическая деятельность организма. Скачать бесплатно и без регистрации
Реферат: Гетьман Пилип Орлик та його конституція
Контрольная работа по теме Ринок товарів і послуг
Реферат: Паравенерические заболевания. Скачать бесплатно и без регистрации
Курсовая работа: Статистико-экономический анализ рабочей силы предприятия Полазненский хлебозавод
Семейный Праздник Новый Год Сочинение 2 Класс
Сочинение На Тему Мой Кумир Моя Мама
Эссе Я Люблю Свою Профессию
Аттестационная Работа Врача Травматолога
Политическая Общество 21 Века Контрольная Работа
Курсовая работа по теме Лексико-прагматические особенности функционирования фразовых глаголов в СМИ
Курсовая работа по теме Теоретические основы налогообложения имущества организации
Организация работы участка по ремонту автосцепного оборудования вагонов
Курсовая работа по теме Общий обзор автомобильной промышленности Германии
Материальные И Духовные Ценности Сочинение Аргументы
Реферат по теме РСДРП и другие партии начала ХХ века
Реферат: Культура России ХХ века
Семейное Счастье Произведение Толстого Эссе
Ответ на вопрос по теме Взаимодействия ядов с организмом. Частная токсикология сильнодействующих ядовитых веществ
Входная Контрольная Работа 8 Класс Ответы
Реферат: Компоненты электронной техники
Сочинение по теме Герои и антигерои в романе-эпопее Л. Н. Толстого «Война и мир»
Итоговое Сочинение 2022 2022 Учебный Год
Реферат по теме История госуправления
Практическое задание по теме Исследование методов измерения постоянного тока и напряжения
Курсовая работа по теме Аналіз та планування основних фондів торгівельного підприємства (на прикладі ТОВ "БАРС")
Гранатовый Браслет Пример Любви Для Сочинения
Курсовая работа: Юридические лица – порядок их образования и прекращения
Курсовая работа по теме Кейнсианская теория макроэкономического равновесия
Реферат по теме Особенности маркетинга в России
Реферат: Старообрядческая Москва. Скачать бесплатно и без регистрации
Культура Переговоров Реферат
Административное Судопроизводство Курсовая
Реферат: Проект организации работ
Достаточным Основанием Для Темы Выбора Реферата Является
Контрольная работа: Грошові розрахунки та їх документообіг
Категории Трещиностойкости Железобетонных Конструкций Реферат
Сочинения Природные Особенности
Реферат: Из истории организаций, оказывающих экстренную медицинскую помощь, в России и других странах. Их настоящее и перспективы развития. Скачать бесплатно и без регистрации
Мой Любимый Былинный Герой Сочинение 7 Класс
Дипломная работа по теме Стратегия развития предприятия ООО 'Новый Гастроном ЯрМарка'
Реферат На Тему Приказной Язык Московского Государства
Дипломная работа по теме Подготовка евро к наличному обращению
Готовая Дипломная Работа На Тему
Реферат: Разработка сайта с использованием CSS
Курсовая работа: План личной жизни и карьеры
Реферат по теме Рынок медикаментов
Сочинение 9.2 Пуговица
Курсовая работа: Основные направления денежно-кредитной политики Центрального Банка РФ
Курсовая работа по теме Организационно-управленческий анализ ОАО 'ЧТПЗ'
Сочинение Черты Национального Русского Характера Катерины
Реферат: Коррекционное обучение
Реферат Процесс Проектирования В Дизайне Интерьера
Реферат по теме Биотрансформация ксенобиотиков











































































