Реферат по теме Біосинтез вітамінів

👉🏻👉🏻👉🏻 ВСЯ ИНФОРМАЦИЯ ДОСТУПНА ЗДЕСЬ ЖМИТЕ 👈🏻👈🏻👈🏻
Реферат на тему "Біосинтез вітамінів" скачать бесплатно
Реферат Біосинтез вітамінів
Біосинтез вітамінів - Allbest
Реферат: Вплив вітамінів на організм людини - Xreferat .com . . .
Біосинтез вітамінів - revolution .allbest .ru
Вітаміни Та Їх Роль У Житті Людини . Реферат - Освіта .ua
Вплив вітамінів на організм людини - реферат, курсовая . . .
Реферат Вітаміни: будова, властивості, використання . . .
Біосинтез Білків Та Пластичний Обмін . Реферат - Освіта .ua
Реферат на тему Роль вітамінів у житті людини - Біологія . . .
Курсовая Работа На Тему Следы Повреждений На Одежде
Эссе Статистика Операционных Систем
Презентация На Тему Майкл Фарадей: Биография И Научная Деятельность
Тезисы: На Тему: Біосинтез Вітамінів . Таким чином було з'ясовано роль вітамінів в обміні речовин, їх різноманітні функції . Нині відомо понад 20 вітамінів, які …
1 . Загальна характеристика вітамінів . 1 .1 Класифікація вітамінів . Біосинтез вітамінів . 2 .1 Вітамін В12 . 2 .1 .1 продуцентів вітаміну В12 . 2 .1 .2 Біосинтез …
1 .1 Класифікація вітамінів . 2 . Біосинтез вітамінів . 2 .1 Вітамін В12 . 2 .1 .1 Продуценти вітаміну В12 . 2 .1 .2 Біосинтез вітаміну В12 . 2 .2 Вітамін В2 (рибофлавін) …
Біосинтез: Триптофан → кинуренін → ніацин В організмі людини вітамін РР поступає в основному з їжею і частково за рахунок всмоктування нікотинової кислоти і …
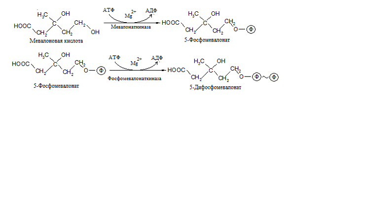
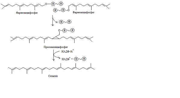
Біосинтез вітамінів Загальна характеристика, класифікація та властивості вітамінів . Структура та продуценти вітамінів В12, В2 (рибофлавін), D (ергостерин), А …
Гіповітаміноз виникає при недостатності вітаміну або провітаміну в їжі, захворюваннях травного апарату, а також при підвищеній потребі в ретинолі (вагітність …
2 .5 Біосинтез Біосинтез: Триптофан > кинуренін > ніацин В організмі людини вітамін РР поступає в основному з їжею і частково за рахунок всмоктування нікотинової …
referatu .net .ua /referats/100/40656
Ним встановлено, що ці аномальні стани у рослин супроводжуються серйозними біохімічними порушеннями: подавляється активність аскорбіноксидази, поліфенолоксидази і …
ru .osvita .ua /vnz/reports/biolog/23679/
Реферат . Основні уявлення про пластичний обмін . Біосинтез білків та його етапи . Пластичний обмін (анаболізм, асимиляція) - сукупність біохімічних ферментативних …
До водорозчинних вітамінів належить: вітамін С, Н, В13, В2, В1, В5, В6, В9, В12 . Усі вони термостабільні, за винятком вітаміну С, який руйнується при нагріванні в …
Уровни Организационной Культуры Реферат
Сочинение Описание Внешности Учителя Человека
Реферат: Mad Cow Disease Essay Research Paper For
Технологии Вождения По Колеи Без Гсп Реферат
Реферат: Полиметилметакрилат. Органическое стекло. Скачать бесплатно и без регистрации
Дипломная работа по теме Анализ деятельности строительной компании ЗАО "Чеви Коструциони"
Курсовая работа: Правовое регулирование общественных отношений
Реферат: Отношение к нищим в средневековой Европе
Сочинение по теме Традиции Гоголя в творчестве Булгакова
Научное Эссе Темы
Реферат: Доходы и расходы, прибыль коммерческого банка. Процентная маржа
Реферат: Meagans Law Essay Research Paper Almost every
Контрольная работа по теме Особенности финансово-правовых норм
Научно Практический Уровень Работы
Курсовая работа: Уголовно-правовая характеристика государственной измены и шпионажа
Дипломная работа по теме Толерантность между переселенцами и местным сообществом как принцип социальной работы с мигрантами
Реферат Visual Basic
Реферат: Исследование систем управления - Эмпирические методы исследования. Скачать бесплатно и без регистрации
Курсовая работа: Теневая экономика и проблемы её эффективного ограничения
Курсовая Работа Заказ Екатеринбург
Контрольная Работа Физика 7 Класс Громцева
Реферат Безопасность Производства
Как Правильно Оформить Ссылки В Курсовой
Реферат: Европейский союз и его проблемы. Скачать бесплатно и без регистрации
Доклад: Королівство Іспанія
Реферат: Самосознание и мотивация общения
Реферат: Современные принципы терапии эпилепсии
Контрольная работа: Экономико-математическая статистика
Контрольная Работа По Частям Речи 3 Класс
Реферат: Программа курса «Язык рекламы»
Образец Диссертации
Заттардың Агрегаттық Күйлері Туралы Эссе Жаз
Реферат: Кадрові зміни в керівництві Збройних Сил СРСР напередодні перебудови
Курсовая Работа Оформление По Госту Пример
Корень Степени N Контрольная Работа
Книга: Компьютерные технологии обработки экономической информации на основе табличных процессоров
119 Тем Для Декабрьского Сочинения
Написать Сочинение О Защите Природы
Эссе По Фильму Про Пиар
Как Делается Реферат В Ворде
Дипломные Работы Образец Узбекистан В Ижевске
Контрольная работа: Презентация автотранспортного предприятия ООО Караван-Автотранс
Доклад: Динозавры
Взросление Петра Гринева Сочинение
Реферат по теме Історія розвитку та краху Бретон-Вудської валютної системи. Реформування Німецького федерального банку
Реферат по теме Переменчивая Фортуна венецианского Амфиона
История Возникновения Спортивных Игр Реферат
Курсовая работа по теме Основи кредитного ризику
Современные тенденции развития мирового рынка ценных бумаг
Опричнина Сочинение Егэ Причинно Следственные Связи
Темы Для Диссертации Магистратура Психология
Реферат На Тему Россия, Украина И Белорусия В Системе Международных Отношений
Дипломная работа по теме Изучение онтогенических особенностей кварц-агатовой секреции
Эффективность Персонала Курсовая
Чертежи Дипломного
Ответственность В Исполнительном Производстве Курсовая
Купить Лабораторную Работу По Информатике
Реферат На Тему История Логики
Реферат по теме Совместные предприятия и перспективы их развития
Контрольная работа: Понятие охраны окружающей среды
Реферат: Толстой Акула
Объем Сочинения Огэ В 9 Классе
Контрольная работа: Самоорганизация живой и неживой природы
Сочинение 100 150 Слов
Тематика Курсовых Работ По Экономике Организации
Статья Белинского Сочинения Пушкина Кратко
Социальное Неравенство Сегодня Реферат
План Сочинения По Картине Пластова Первый Снег
Оценка Эффективности Капиталовложений В Энергетику Реферат
Признаки Монархической Формы Правления Курсовая
Дипломная работа по теме Изучение защитного действия зубных паст
Реферат: Обоняние. Вкус
Контрольная работа по теме Информационное общество: понятия, определения, концепции
Сочинение О Жизни Растений 3 Класс
Реферат: An Observation Of The Aeneid Essay Research
Курсовая работа по теме Влияние мирового финансового кризиса 2008 года на Россию и ее регионы (на примере Ульяновской области)
Реферат: Судебно-психиатрическая экспертиза больных шизофренией
Народное Собрание Сочинений Виктора Пелевина
Корректор Сочинения Онлайн
Дипломная работа по теме Разработка проекта по внедрению информационной системы для управления партнерской программой в компании 'amoCRM'
Реферат: Экспериментальная проверка помехозащищенности американской спутниковой навигационной системы GPS.
Реферат по теме Комплекс древнерусских боевых средств в IX-XII веках
Доклад: Математика и математическое образование в современном мире
Реферат по теме Разработка технологии по изготовлению книжного издания по искусству
Контрольная работа: Расчет переключателей
Курсовая Работа Автомобиль Грузовой
Реферат: Конвенция об отмывании, выявлении, изъятии и конфискации доходов от преступной деятельности
Сочинение: Диалектика души в произведении Л. Н. Толстого Юность
Реферат: Вестминстерское аббатство
Дипломная Работа На Тему Биология Белки И Ее Хозяйственное Значение В Благовещенском Районе
Учебное пособие: Ціни і ціноутворення у будівництві
Курсовая Работа Заказать Москва
Реферат: Веласкотенес династия
Курсовая Работа На Тему Организационно-Экономические Особенности Свиноводства
Реферат по теме Співробіництво України з МВФ
Реферат По Информатике Вуз
Диссертация Современный Мир
Реферат: Классификация международного Олимпийскрго движения
Бунин Собрание Сочинений В 4 Томах
Практическое задание по теме Экспериментальная проверка токораспределения в разветвленных цепях постоянного тока
Реферат по теме Біосинтез вітамінів












































































:no_upscale()/imgs/2019/09/13/08/3560967/f74684f4ff9d6caff6ac5089b506a5b372bb9ef1.jpg)


















