Реферат по теме Анализ состояния электрических цепей

⚡ 👉🏻👉🏻👉🏻 ИНФОРМАЦИЯ ДОСТУПНА ЗДЕСЬ ЖМИТЕ 👈🏻👈🏻👈🏻
Реферат: Анализ электрического состояния линейных . . .
Курсовая на тему Анализ электрического состояния . . .
Курсовая работа по теории электрических цепей : Реферат . . .
Реферат: Теория электрических цепей - BestReferat .ru
Реферат: Исследование электрических цепей - Xreferat .com . . .
Расчет и анализ электрических цепей
Анализ электрической цепи синусоидального тока
Анализ электрического состояния линейных и нелинейных . . .
Электрические цепи постоянного тока - реферат, курсовая . . .
Анализ электрического состояния линейных и нелинейных . . .
Контрольные Работы По Геометрии 7 Класс Мерзляк
Реферат: Интеллигенция в годы Перестройки. Скачать бесплатно и без регистрации
Отчет По Практике На Тему Бухгалтерский Учёт Анализа Расчётов С Поставщиками И Подрядчиками
1 . Анализ электрического состояния линейных электрических цепей постоянного тока . Схема электрической цепи постоянного тока: r2 i2 r7 i5 e1,r02 i7 r1 i3 r5 . r3 r4 i4 i6 i1 e2,r02 r6 . Рис .1 .0 . Числовые параметры: e1=30b . r01=3om .
Анализ электрического состояния однофазных и трёхфазный цепей Тип Курсовая Предмет Теоретические основы электротехники
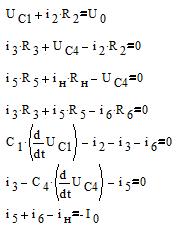
Курсовая работа по теории электрических цепей — Физика . Часть 1 . Анализ цепи во временной области методом переменных состояния при постоянных воздействиях . Дано: Для схемы: U 0 (t)= U 0 =const U 0 =5 В . i 0 (t)=I 0 d 1 (t) I 0 =2 A . 1 .1 Составить уравнения состояния для цепи при t³0 .
Реферат: Теория электрических цепей . Название: Теория электрических цепей . Раздел: Рефераты по коммуникации и связи . Тип: реферат Добавлен 22:46:38 29 июня 2005 Похожие работы . Просмотров: 2195 . . .
1 Расчет реакции электрической цепи символическим методом 1 .1 Разложение заданного сигнала в ряд Фурье 1 .2 Нахождение Y-параметров активного четырехполюсника
Анализ электрического состояния линейных и нелинейных электрических цепей постоянного тока, однофазных и трехфазных линейных электрических цепей переменного тока . Переходные процессы в электрических цепях .
www .0zd .ru /fizika_i_energetika/analiz_elektricheskoj_cepi .html
Анализ электрической цепи синусоидального тока . КУРСОВАЯ РАБОТА . по дисциплине : « Электротехника и электроника » тема: « Анализ электрической цепи синусоидального тока » 2005 Содержание:Задание
Анализ состояния однофазных и трехфазных электрических цепей переменного тока . Исследование переходных процессов, составление баланса мощностей, построение векторных диаграмм для цепей .
1 .1 Основные понятия, определения и законы . Электрической цепью называют совокупность устройств и объектов, образующих путь для электрического тока, электромагнитные процессы в которых могут быть описаны с помощью понятий об ЭДС, токе и напряжении .
Анализ электрического состояния линейных и нелинейных электрических цепей Вид работы: Курсовая работа (т)
Реферат: Политические правовые элиты России начала ХХ века
Сочинение Про Путешествие На Море
Курсовая работа: Внутренний водопровод
Курсовая работа: Санітарна оцінка підприємств громадського харчування
Реферат: Военно-промышленный комплекс США
Реферат: Древняя Русь - здоровый образ жизни
Реферат: Marketing Of An Adjustable Headlight Essay Research
Прочитайте Сочинение Ученика На Тему Хорошо
Реферат: Философия как наука 4
Сочинение 2022 Егэ Скачать
Реферат по теме Класичні та геополітичні уявлення про державу
Реферат: Конкуренция и конкурентоспособность
Сочинение На Тему Слово Русский
Реферат по теме Графические возможности текстового процессора Word для Windows и Open office.org - Writer. Панель инструментов 'Рисование'
Доклад: Отон
Курсовая Работа На Тему Экономика Предприятия Ооо "Енисейский Цбк"
Сколько Стоит Написание Курсовой Работы
Характеристика Лпу Для Дневника Практики
Реферат по теме Магнитотвердые материалы
Курсовая работа по теме Лечебно-оздоровительный туризм
Реферат На Тему Заболевание Спид, Пути Заражения
Курсовая работа по теме База данных 'Домашняя библиотека'
Любовная Лирика Некрасова Сочинение
Виды Источников Предпринимательского Права Курсовая Работа
Контрольная работа по теме Президент в политической системе общества
Реферат по теме Вода в атмосфере
Реферат: The Great Gadsby Essay Research Paper The
Дневник По Практике Синергия Менеджмент
Курсовая Работа На Тему Предпринимательство И Предпринимательский Капитал
Способы Управления Рисками Реферат
Реферат: Корупція як соціальне явище
Курсовая работа по теме Особенности культуры Северного Возрождения
Установление Личности Гражданина По Неопознанным Трупам Реферат
Дипломная работа по теме Проектирование строительства завода цинкования мелкоразмерных конструкций
Сочинение Вариант 25 2022
Контрольная Работа По Теме Познание 10 Класс
Горизонты 7 Класс Контрольные Работы
Реферат: Древняя Русь в начале XII в
Реферат: Goldings Foreshadowing Looking At The Lord Of
Контрольная работа: Понятие правоотношений. Структура и предпосылки возникновения. Скачать бесплатно и без регистрации
Реферат по теме Отчет по практике
Контрольная Работа По Химии За 1 Четверть
Реферат по теме История преступности в раннее новое время: сравнение Западной Европы и России
Сочинение Мой Любимый Город Столица Бишкек
Курсовая работа по теме Аналіз кредитоспроможності підприємства
Дипломная Работа На Тему Дослідження І Порівняння Споживчих Властивостей Какао-Порошку Різних Країн Походження, Їх Митне Оформлення
Доклад: Сердце как орган высшего познания
Реферат: История развития ДВС
Курсовая работа по теме Исследование эмоциональных состояний у студентов в процессе учебной деятельности
Курсовая работа по теме Развитие туризма в Древнем Риме
Сочинение Про Спорт Со Сложными Словами
Реферат по теме Как стимулировать инициативу работников
Культура Межличностного Общения Реферат
Реферат: Лимбосклерэктомия с клапанным дренированием супрацилиарного пространства. Скачать бесплатно и без регистрации
Курсовая работа по теме Тоталитаризм: сущность и особенности
Реферат На Тему Использование Гуминовых Веществ
Теоретические Основы Налогообложение Нефтегазового Комплекса Курсовая
Звук Сценки Контрольная Работа В Школе
Лекция 6. Стратегия и тактика ценовой политики
Курсовая работа по теме Обеспечение безопасности информационных ресурсов
Повесть О Петре И Февронии Сочинение Рассуждение
Реферат: Вопросы регионального развития в экономических теориях Запада
Реферат: Право и его сущность
Налоговый Учет На Предприятии Отчет По Практике
Реферат: Приспособление растений к среде обитания. Скачать бесплатно и без регистрации
Сочинение Миниатюра Природа Родного Края
Курсовая Работа Безработица Виды Причины Последствия Способы Борьбы
Реферат По Физкультуре Вегето Сосудистая Дистония
Контрольная работа по теме Договор перевозки груза
Реферат: Права бывших членов собственника имущества и проблемы, возникающие при его разделении
Курсовая работа по теме Методы решения алгебраических уравнений
Реферат по теме Мир и Россия: Основные тенденции истории
Дипломная работа по теме Разработка автоматизированной системы оценки кредитоспособности физических лиц (АС 'CreditAnalysis')
Курсовая Работа На Тему Игровые Методы Как Средство Активизации Познавательной Активности На Уроках Английского Языка
Курсовая Работа На Тему Гражданский Процесс
Ответ на вопрос по теме Технологические основы машиностроения
Курсовая работа: Астрология как социальный институт. Скачать бесплатно и без регистрации
Контрольная Работа На Тему Социальная Мобильность И Циркуляция
Доклад: Возможности индукционных зондирований для поисков и прогнозной оценки нетрадиционных типов месторождений золота и платиноидов
Дипломная работа по теме Обращение взыскания на недвижимое имущество
Курсовая работа: Організація та методики,проведення занять із застосування методів проблемного навчання
Реферат На Тему Профессиональный Психологический Отбор
Реферат: Процессы урбанизации и их последствия
Плавание На Олимпийских Играх Реферат Кратко
Как Писать Дневник По Производственной Практике
Курсовая работа по теме Учредительные документы юридического лица
Отчет По Практике Pdf
Курсовая Развитие Страхового Дела В России
Сочинение На Тему Текст 7 Класс
Реферат: Японские традиционные куклы
Реферат На Тему Вода В Жизни Человека
Маленькое Сочинение Про Маму
Пособие по теме Экзаменационные билеты по химии (Ангарск, 2003г.)
Дипломная работа по теме Использование игр в оздоровительной работе с младшими школьниками
Дипломная работа по теме Динамика демографической характеристики антропосистемы пос. Амангельды в период 1900 – 2010 гг.
Контрольная работа: Функции налогообложения и денежного обращения
Курсовая Работа На Тему Инновационный Потенциал Региона. Оценка Эффективности Инновационного Проекта
Контрольная работа по теме Проектирование районной электрической сети
Реферат: Анализ основных аспектов организации менеджмента на предприятии
Сочинение: Жизненный путь Н.А. Некрасова
Реферат по теме Анализ состояния электрических цепей


















































































