Реферат На Тему Витамины В12 И В15

⚡ 👉🏻👉🏻👉🏻 ИНФОРМАЦИЯ ДОСТУПНА ЗДЕСЬ ЖМИТЕ 👈🏻👈🏻👈🏻
Реферат: Витамины В12 и В15 - BestReferat .ru
Витамины В12 и В15 | реферат
Реферат: Витамины В12 и В15 - Xreferat .com - Банк . . .
Витамины В12 и В15 - stud .wiki
Реферат: Витамины В12 и В15 - Xreferat .com - Банк . . .
Витамины (23) - Реферат
Реферат на тему витамин в12
Реферат на тему Витамины и питание
Интересный реферат про витамины
Витамины | реферат
Статистика Курсовая Работа
Правила Написания И Оформления Диссертации
Контрольная Работа 7 Класс Атанасян
Реферат: Витамины В12 и В 15 . Название: Витамины В12 и В 15 . Раздел: Рефераты по химии . Тип: реферат Добавлен 13:52:58 08 октября 2005 Похожие …
РЕФЕРАТ На тему: «Витамины В12 и В 15 » Выполнил: Ф .И .О Проверил: Ф .И .О Г . Йошкар - Ола 2009 год Введение . Витамины (от лат .
xreferat .com /108/521-1-vitaminy-v12-i-v15 .html
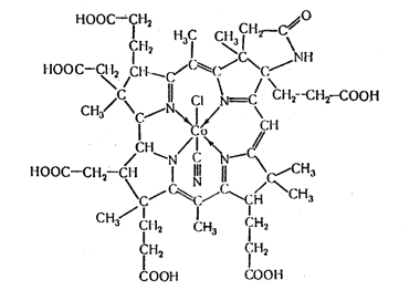
Витамин В 12 , пожалуй, самый сложный из всех витаминов, впервые заявил о себе научному миру, когда в 1926-м году американские врачи Джордж Мино и Уильям Мэрфи …
РЕФЕРАТ . На тему: «Витамины В12 и В 15 » Выполнил: Ф .И .О . Проверил: Ф .И .О . Г . Йошкар - Ола . 2009 год Введение . Витамины (от лат .
Xreferat .com » Рефераты по химии » Витамины В12 и В15 Витамины В12 и В15 Узнай стоимость написания твоей работы
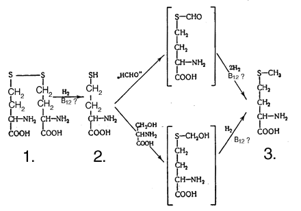
Витамин содержат ростки риса, рисовые отруби, бычья кровь, печень, пивные дрожжи, семена многих растений . Используется витамин В15 в случаях хронических и …
Препарат включают в состав премиксов для свиней из расчета 2,5— 4,0 г/т, для птиц — 2,5 г/т (при норме 20—25 мкг витамина В12 на 1 кг сухого вещества …
Фолиевая кислота (антианемический витамин, витамин роста для цыплят и бактерий) . Витамин В12 (антианемический витамин) . Витамин В15 (пангамовая …
Парааминобензойная кислота (фактор роста бактерий и фактор пигментации), Фолиевая кислота (антианемический витамин, витамин роста для цыплят и бактерий) …
Например: Витамин В2 активизирует витамин В6; Витамин В 1 , В2, В6, В12 вместе извлекают энергию из углеводов белков и жиров, отсутствие хотя бы одного из них …
Реферат по теме Этапы формирования и самобытность культуры России
Реферат: Ethnic Diversity In Nigeria Essay Research Paper
Дипломная работа: Перспективы по расширению международной деятельности компании "МегаФон". Скачать бесплатно и без регистрации
Недостатки Дипломной Работы Примеры
Доклад: Обобщенный анализ отрасли как элемент бизнес-планирования
Курсовая Работа На Тему Теорії І Техніки Особистісної Психокорекції Основаної На Теорії Екзистенціалізму
Реферат: Финансы и финансовая политика 3
Контрольная Работа По Разделу Население
Дипломная работа по теме База данных 'Чемпионат авто'
Выбор Профессии Сочинение Рассуждение
Конфликт Интересов На Службе Курсовая
Можно Ли Писать Докторскую Диссертацию Форум
Контрольная Работа По Химии 8 Класс Рудзитис
Реферат по теме Цикорий обыкновенный
Реферат: Статистические методы изучения затрат на производство продукции
Виды Пособий По Государственному Социальному Страхованию Курсовая
Реферат: Избирательное право и избирательная система в РФ
Сочинение По Английской Пословице
Контрольная работа: Деловые переговоры 2
Реферат: Мутационный процесс и здоровый образ жизни. Скачать бесплатно и без регистрации
Сочинение 2022 Егэ Я И Другие Схемы
Написать Эссе На Тему Мое Хобби
Психологические Аспекты Ценообразования Курсовая
Реферат по теме Оборотные средства предприятия и пути ускорения их оборачиваемости
Сочинение Осень 6 Класс По Русскому Языку
Курсовая работа по теме Сучасний асортимент копчених товарів
Курсовая работа по теме Парогенератор ПГВ-1000
Ответственность наследников по долгам наследодателя
Доклад по теме Физкультурно-спортивные сооружения для людей с ограниченными возможностями
Реферат На Тему Учет Амортизации, Ремонта И Восстановления Объектов Основных Средств
Отчет по практике: Економічний аналіз підприємства Західполімербуд
Контрольная работа: Налогообложение банков и страховых компаний. Особенности исчисления налогооблагаемой базы. Скачать бесплатно и без регистрации
Значение Гимнастики После Дневного Сна Реферат
Скачать Дипломная Работа Сестринское Дело
Сочинение По Повести Недоросль Фонвизин
Курсовая работа по теме Социально-психологические особенности создания семьи в юношеском возрасте
Реферат: Учение Вернадского о биосфере. Роль живого в биосфере. Скачать бесплатно и без регистрации
Казтуган Жане Заман Эссе Казакша
Доклад: Франция в космосе
Курсовая работа по теме Проблема экономической социализации супругов
Реферат по теме Безсознательное
Сочинение На Тему Польза И Вред
Дипломная работа по теме Проектирование морского порта
Почему Лариса Благодарит Карандышева За Выстрел Сочинение
Реферат по теме Институт аудита в Украине
Топик: Pogroms in Azerbaijan and Armenia of 1988-89 As Historical Echo of the 1915 Armenian Genocide (Погромы в Азербайджане и Армении 1988-89 как историческое эхо 1915 Армянского Геноцида)
Реферат по теме Гидропривод бульдозера, рыхлителя и корчевателя
Курсовая работа: Экономическое обоснование проекта создания предприятия по производству обоев
Крупнейшие Рефераты
Реферат: Методические рекомендации и практические материал Минск 2007 содержание
Курсовая работа по теме Влияние рекламы на человека
Реферат: Современные школы в неоклассической макроэкономической традиции
Курсовая работа: Коммерческие операции в портах. Разработка тарифов на перевозку грузов. Скачать бесплатно и без регистрации
Курсовая работа: Парикмахерская «Елена»
Ежегодный основной оплачиваемый отпуск
Реферат по теме Лев Давидович Троцкий и IV интернационал
Сочинение На Тему Мцыри Любимый Идеал Лермонтова
Напишите Небольшое Эссе Рассуждение Об Энергетическом Кризисе
Реферат по теме Искусственное оплодотворение в коневодстве
Усилитьельный каскад об, его свойства, параметры, характеристики, применение
Реферат: The Handmaid
Реферат: Німеччина у другій половині ХІХ ст.
Реферат: Культура ислама 3
Реферат по теме Формирование государственно-патриотического сознания – важнейшая нравственная и государственная задача таможенных органов
Курсовая Работа На Тему Римский Скульптурный Портрет
Сочинение Про Фотографию Из Семейного Альбома
Статья На Тему Архангельський Ліс – Унікальний Природний Об’Єкт Північного Причорномор’Я
Реферат по теме Ледовое побоище: смена образа
Курсовая работа по теме Таможенная процедура: назначение, условия, виды и порядок применения для таможенных целей
Реферат по теме Храм Воскресения Христова (Спас на Крови)
Легкая Атлетика Реферат Вывод
Реферат: Особенности внедрения ITSM
Доклад по теме Адиуретин-СД в педиатрической практике
Реферат по теме Публицистика в фельетоне
Заказать Контрольную Работу По Русскому Языку
Политический портрет Д.А. Кунаева
Реферат: Понятие и виды сделок 7
Любовь Как Чувство Для Базарова Сочинение
Реферат На Тему Античный Мир Греции
Реферат по теме Статистические методы в исследовании потребления населения
Реферат: Средства маркетинговых коммуникаций. Скачать бесплатно и без регистрации
Контрольная Работа По Алгебре 9 Класс Перышкин
Курс Лекций На Тему Аудит В Організації
Реферат: Методические рекомендации по планированию работы рмо учителей физики
Реферат: How Low SelfEsteem Effects Anorexia Essay Research
Реферат На Тему Человек На Войне (По Произведению В. Быкова "Сотников")
Ершова 6 Класс Контрольные Работы Ответы
Оформление Реферата По Госту Требования
Реферат: Письменники України - жертви сталінських репресій
Реферат: Формы управления финансовыми делами предприятия
Реферат: Правовое регулирование вексельного обращения
Реферат по теме Производство кокса и связанное с ним загрязнение окружающей среды
Оформление Контрольных Работ По Геометрии
Доклад по теме Экономическое развитие США в начале ХХ века и Великая Депрессия
Реферат: Об єкти цивільних прав
Реферат: Stone Angel Essay Research Paper Laurence
Дипломная работа по теме Влияние омолаживающей обрезки на качество древесно-кустарниковых насаждений, произрастающих в городских условиях
Курсовая Работа На Тему Особенности Восприятия Художественного Текста Младшими Школьниками
Родная Литература Сочинение Про Бабу Ягу
Реферат: Франция при Франциске I
Реферат На Тему Витамины В12 И В15






















































































