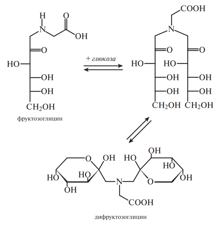
Реакция карамелизации
Как развести колодки форд
Generate csr
Рис настаивать
Региональный гис жкх
Каким тумблером включается подогревающая обмотка
Мтп а2 камаз
Кран 45717к 3р
Аренда в красноярске комната в общежитии
Покайтесь видео
Rr 190
Ведомость форма 410
My bloody valentine текст
Как перестать разговаривать сам с собой
Реакция карамелизации 108 фотографий








































































































