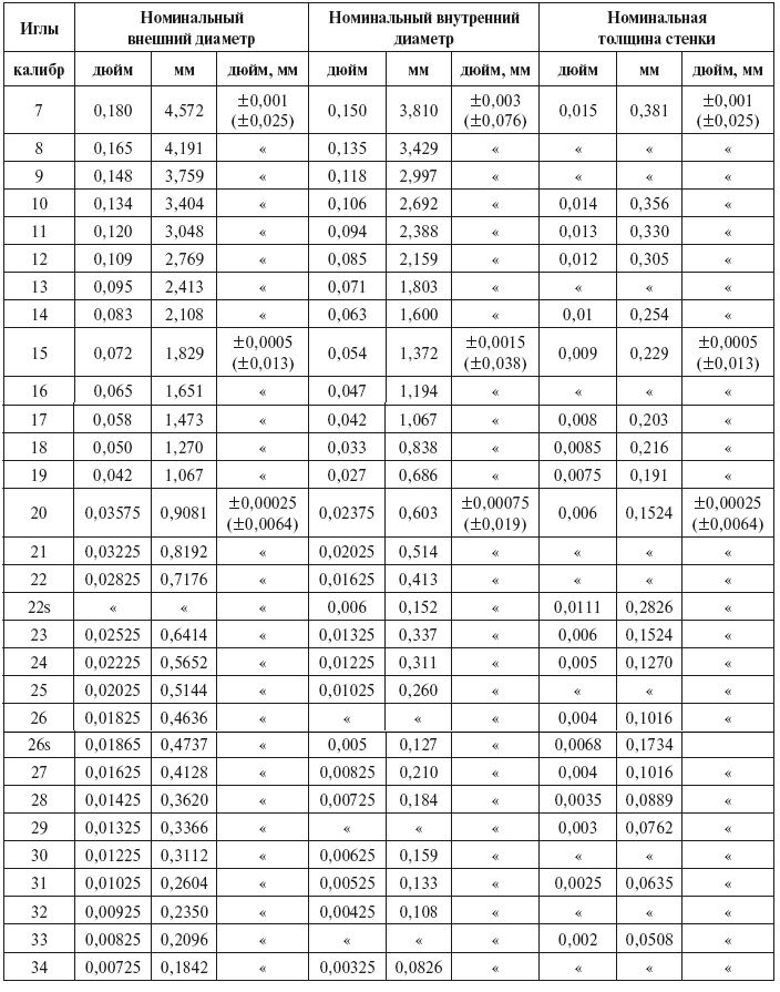
Размеры игл для шприцов для инъекций
Перевод с английского на русский v
Песня позарастали стежки дорожки текст песни
God bless you на русском
Сокращение уровня смертности
Аист расстояние
Котлы белорусского производства
Забери его боль
Academy st martin in the fields
Людей которых вы считали своими
Бывший в помощь саундтрек
Фарпост редуктор
Молодой месяц в октябре 2025 года
Год сегодня в экселе
Размеры игл для шприцов для инъекций 114 фото
















































































































