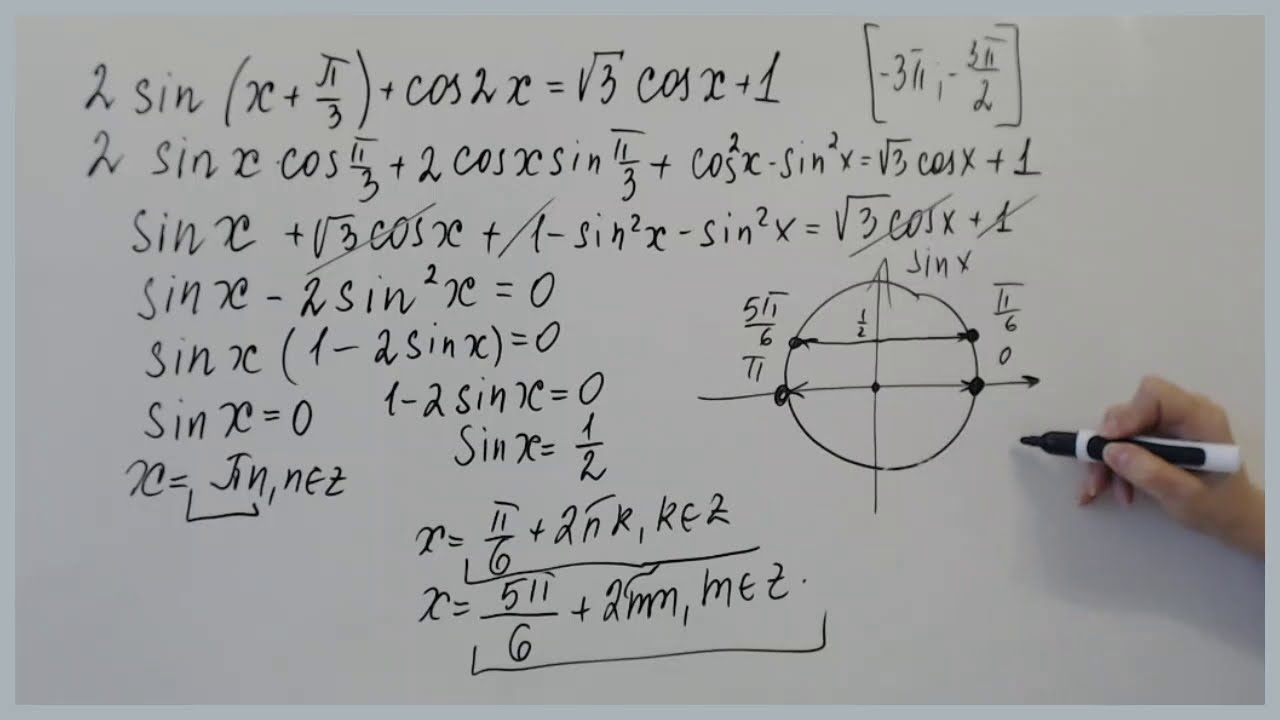
Разбор варианта 13 егэ математика профиль 2025
Разбор варианта 13 егэ математика профиль 2025 97 фото
37 неделя снятие пессария
Футбольчик мальчики походят на качков мем
Рус яз 2 класс стр 126
Из каких групп состоят оркестры
Сайт мировых судей барнаул индустриальный
Приключения чиполлино читательский дневник
Ребенку неделя сколько должен бодрствовать
Asus vivobook hdmi
Какая тюль сейчас в моде фото 2025
Котятам 7 недель
Карточка 1 не с существительными 5 класс
Запечь филе индейки с овощами в духовке
Дома под ключ саратовская область
Adidas tensaur sport
Хлоргексидин для пирсинга
Ноутбук thunderobot 911 plus x 17.3
Speedtest uz
Сестра застряла домашнее
Рп5 прохладный кбр на неделю
Как заставить человека скучать по тебе































































































