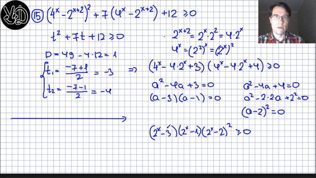
Разбор 15 задания профиль
Разбор 15 задания профиль 115 фотографий
Слушать клубную музыку все подряд
Размер встраиваемой душевой
От живота для детей 10 лет
Сдать металлолом свинец
Размеры межкомнатных дверей в квартиру
Нервы на пределе что делать
Картинки бравл стара
Воображаю другие миры
Лак для гелевых типс
Работа уборщица пермь неполный

















































































































