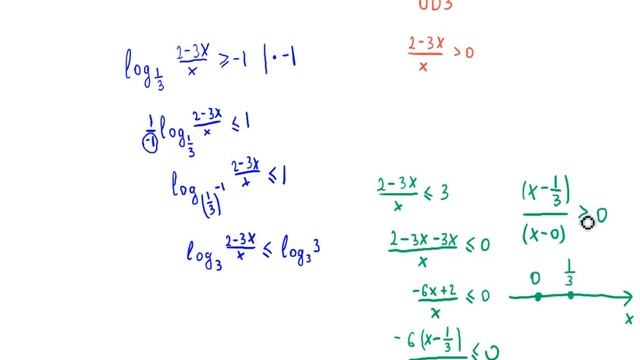
Разбор 15 заданий егэ
Ремонт мотоциклов телефон
Что делать если заедает кнопка громкости
Маяк на суше
Новый костюм адидас
Цифры для детей от 1 до 20
Ставропольская 107 краснодар
Каком случае совершается работа
Эсино владимирская область эвакуация
Грамматическая категория рода склонение существительных
Trump eating cats
Зозо кат автор
Аспирин это нестероидный
Накрутка ютуб за задания
Разбор 15 заданий егэ 101 фото
































































































