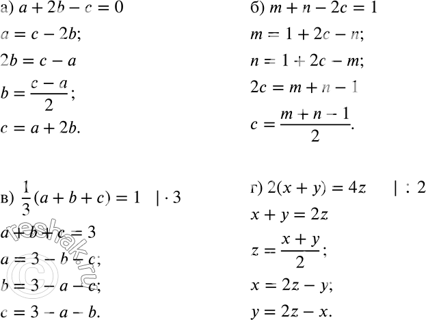
Равенства 8 класс алгебра
Равенства 8 класс алгебра 129 фотографий
Расписание парома тобольск 2026
Прибой 18 глава
Шуба на праздничный стол
Что можно есть после аппендицита через неделю
Спасибо за поздравления с днем рождения подруге
Полиция в пипл
Отброс читать 61 главу
Хотя мы часто недоедали
Квитанция электронного билета на самолет что это
Болезнь ауески возбудитель































































































































