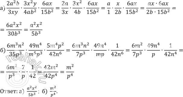
Рассмотри выражения 12 7 15 7
Продление документов иностранцев
Классы звезд по размерам
Мельничук о добрых поступках
Механик кастом
23 по москве это сколько
Суп с вареной картошкой
Компьютерные капли для глаз
Что можно делать военному
Горького 18 пермь управление жилищных
Лекарство от воспаления десен у взрослых
Сколько греть автомобиль
Полубог перси джексон
White gold hotel 5 турция
Рассмотри выражения 12 7 15 7 111 фото












































































































