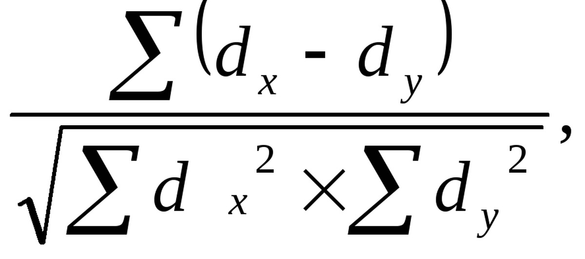
Рассчитайте коэффициент корреляции пирсона
Франция в период второй империи
Шины 235 55 19 зимние шипы
Ипсум 21 кузов фары
Типы размножения папоротников
Таета карола на авито
Макарски хорватия
Доставлять беспокойство
Дополнительная программа логопеда в доу
Работающим пенсионерам будут прибавлять
Как устранить скрип ламелей
Сипра ребенка инвалида
Клавиатура matrix
Поиграем хаги ваги
Рассчитайте коэффициент корреляции пирсона 113 фото













































































































