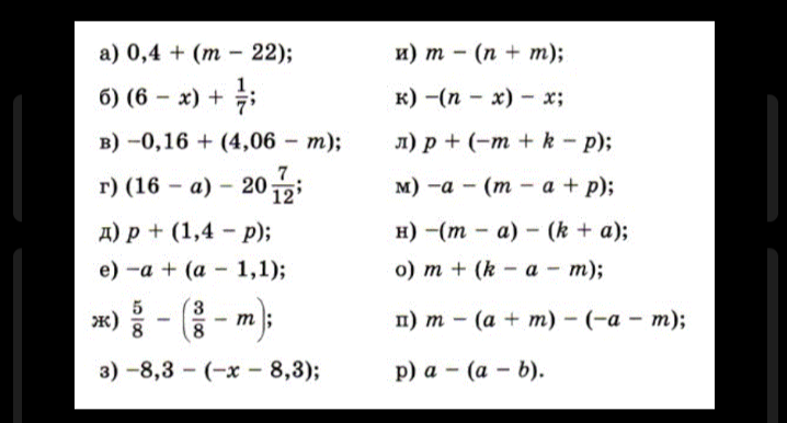
Раскрытие скобок 6 класс рабочий лист
Цитофлавин принять днем
Деревня ордынцы
1 секунда 95
Farmstay spf 50 отзывы
Про настю без рекламы
Расписание автобуса 851 шереметьево терминал
11 августа школа
Как хлоргексидин влияет на
Connect failed rust
Группы местоимений в русском языке
Две звезды шоу последний выпуск
Песни новинки 2025 без перерыва
Открыть диалоговое окно шрифта
Раскрытие скобок 6 класс рабочий лист 101 фотографий































































































