Racial Preference In Dating Sites

π£ ππ»ππ»ππ» MORE INFO CLICK HERE ππ»ππ»ππ»
7 (Surprising) Online Dating Race Statistics
What are the Racial Preferences of Women on Dating Sites?
The uncomfortable racial preferences revealed by online dating
PDF Racial Preferences in Dating - MIT
Racial Preferences in Dating - JSTOR
Does having a racial preference when dating make us racist . . .
How Racial Discrimination Plays Out in Online Dating : NPR
Racism thrives in the online dating world - Mashable
Racial Preferences in Dating - The Other Sociologist
Why is it OK for online daters to block whole ethnic . . .
Best Arabic Dating Apps
Online Dating Rules First Date
White Girl Dating Mexican
On Dating Sites , Your Racial Preference Matters "Dataclysm" is a wonderfully thoughtful and eye-opening assessment of how people date in the modern age . Its studies prompt readers to reassess their online dating behavior and see themselves as part of a larger social framework .
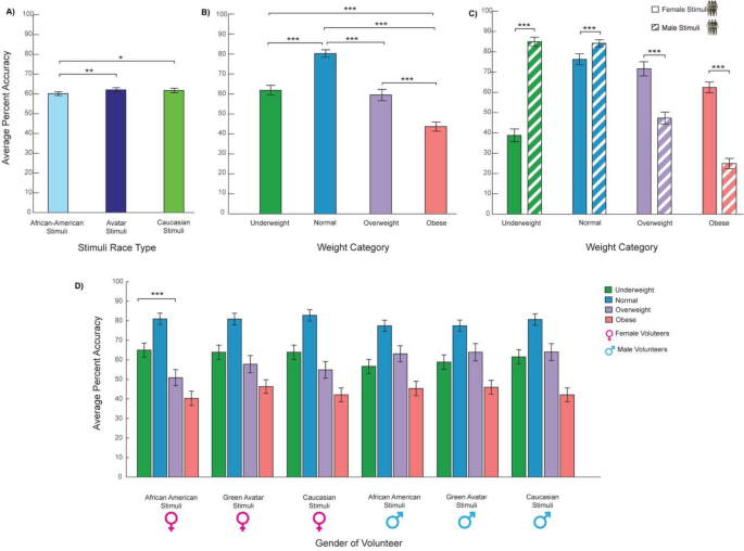
The dating site AYI .com analyzed over 2 .4 million "interactions" among its members to discover the likelihood of users to respond to other users based on race . "Asian, Hispanic, and Caucasian women prefer Caucasian men ." "Caucasian women are twice as likely to respond to Caucasian men than African-American men ."
On the other hand, white men responded to black women 8 .5% of the timeβless often than for white, Latino, or Asian women . In general, men responded to women about three times as often as women . . .
hibit a statistically signiο¬cant same-race preference . Since older subjects (who are more likely to attend the Speed Dating sessions in hope of starting a serious relationship)5 have a weaker same-race preference , this gender difference is unlikely to result from differential dating goals between men and women .
hibit a statistically significant same-race preference . Since older subjects (who are more likely to attend the Speed Dating sessions in hope of starting a serious relationship)5 have a weaker same-race preference , this gender difference is unlikely to result from differential dating goals between men and women .
9 ΡΠ½Π² . 2018 Π³ . Jason, a 29-year-old Los Angeles resident, says he received racist messages on different dating apps and websites in his search for love . Laura Roman/NPR hide caption
" Preferences have different meanings depending on where you are located in a racial and gender hierarchy, a desirability hierarchy, as well as within online dating ," said Celeste Curington, co . . .
by Dr Zuleyka Zevallos . In October 2017, I was interviewed about racial preferences in dating for the Triple J show, " The Hook Up, " along with Dr Denton Callender, a research fellow at the Kirby Institute, and Dr Ian Stephen . The podcast included calls from listeners who shared what it's like to be fetishised on dating apps, as well as the racial . . .
29 ΡΠ΅Π½Ρ . 2018 Π³ . Racism is rife in society - and increasingly dating apps such as Tinder, Grindr and Bumble are key parts of our society . Where we once met people in dingy dancehalls and sticky-floored . . .
Research Radiocarbon Dating And The Shroud Of Turin
Free Full Service Dating Site
Fast Impressions Dating Brisbane
Westminster Dating
Speed Dating Herne Bay
Dating Apps For Android Australia
Typical Online Dating Profile
Norman Dating
Teenage Dating Sites
Dating Services In Edmonton
Android Studio Dating App
Who Is Bella Thorne Dating
Free Online Dating Iom
Questions To Ask A Guy When Online Dating
My Ex Dating My Friend
Dating Burton Latimer
Been Dating For 4 Months
Speed Dating Berkshire Reading
Dating Coach Salt Lake City
Speed Dating Souk Clapham
Dating Agency Ukraine
I'm A Straight Girl Dating A Lesbian
A Little About Me Dating Profile Examples
Top 5 Casual Dating Sites
Hindu Dating Site
Best Dating Site 30s
Dating And Relating In The Internet Age
Cosmo Dating Quiz
Not Quite Dating Catherine Bybee
Gothic Dating UK
Dating And Workplace
Speed Dating Northampton Ma
Majah Hype Dating Show
22 And 18 Year Old Dating
Dating Bars Nyc
Dating In South Africa Johannesburg
Free New Dating Site
Best Free Local Dating App
Definition Dating Someone
General Hospital Actors Dating
Dating Taurus Woman
Catholic Singles Free Dating Sites
Dating Site Creation
1 Gratis Dating
Dating 2gether
The Colony Dating
Young Widows And Widowers Dating
Blonde Hair Dating
Dating Website Scams
Sixsingles.Com - 100 Free Online Dating Site For Singles
Traffic Dating App
University Of Manitoba Dating Site
When Did Internet Dating First Start
Hot Dating Online
Chat And Dating Free
Best Free Dating App For Ipad
Guys With Aspergers And Dating
Attractive Online Dating Profile
Good American Dating Sites
Dating A Team Magma Grunt Chapter 11
Dating My Boss Experience
Legal Age For Dating In Australia
Free Dating Mpumalanga
Dating A 45 Year Old Bachelor
Not Excited Dating
Free Online Dating Halifax
Badoo Dating South Africa
12 Year Olds Dating Site
Francois L'embrouille Speed Dating Alcool
Is Flame Princess Dating Cinnamon Bun
How To See If Someone Is On A Dating Site
Signs Of Dating
Acme Dating Scranton Pa
Inmates Online Dating
American Woman Dating Indian Man
Dating Site America Free
Funny Profile For Dating Sites
Tips For Dating A Shy Girl
Free Dating Chat Site UK
Churches Of Christ Dating Site
Black Speed Dating Events In Atlanta Ga
Speed Dating Melbourne Free
Friend Dating Married Man
Knoxville Dating Twitter
Dating Services Guelph
Couples Online Dating Sites
Dating Scene In Doha
Private Dating Scan Hertfordshire
Singapore Social Dating
Best Dating Sites In Pretoria
Ex Convict Dating Site
Dating Bases Defined
Free Dating Site No Fees
How To Trick A Girl Into Dating You
Interracialdatingcentral Interracial Dating Search Member Search
Karaj Dating
Dating Services Morristown Nj
Dating Ideas College Students
Middle Age Dating Site
High Quality Dating
Racial Preference In Dating Sites










































h_1599">c_limit/use_dating_bias.jpg">











































