Рабепразол Формула

⚡ 👉🏻👉🏻👉🏻 ВСЯ ИНФОРМАЦИЯ ДОСТУПНА ЗДЕСЬ, КЛИКАЙ 👈🏻👈🏻👈🏻
Рабепразол — Википедия
Рабепразол — описание вещества, фармакология, применение, противопоказания, формула
Рабепразол — формула
Рабепразол — свойства, получение и применение
Рабепразол - это . . . Что такое Рабепразол?
Рабепразол* | Инструкция по применению лекарств, аналоги, отзывы
Рабепразол — описание вещества, фармакология, применение, противопоказания, формула
Рабепразол — Википедия
Рабепразол — Википедия . Что такое Рабепразол
Рабепразол — Вікіпедія
Дексаметазон 0 4 2 Мл
Полисорб Энтеросорбент Гель С Янтарной Кислотой
Нольпазу Лучше Принимать С Утра Натощак
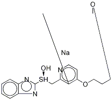
Рабепразол; Химическое соединение; ИЮПАК (RS)-2-(((4-(3-Метоксипропокси)-3-метил-2-пиридил)метил)сульфинил)бензимидазол: Брутто-формула: C 18 H 21 N 3 O 3 S: Молярная масса: 359,444 г/моль: CAS: 117976-89-3: PubChem: 5029: DrugBank: APRD01212: Состав
Структурная формула Русское название Рабепразол Английское название Rabeprazole Латинское название вещества Рабепразол Rabeprazolum ( род . Rabeprazoli) Брутто формула C 18 H 21 N 3 O 3 S Фармакологическая группа вещества Рабепразол Ингибиторы протонного насоса Нозологическая классификация Список кодов МКБ-10 Код CAS 117976-89-3 Характеристика
Формула действующего вещества Рабепразол, химическое название, молярная масса, классификация . Изображение структурной формулы активного вещества Рабепразол .
Рабепразол; Химическое соединение; ИЮПАК (RS)-2-(((4-(3-Метоксипропокси)-3-метил-2-пиридил)метил)сульфинил)бензимидазол: Брутто-формула: C 18 H 21 N 3 O 3 S: Молярная масса: 359,444 г/моль: CAS: 117976-89-3: PubChem: 5029 . . .
Рабепразо́л — противоязвенный препарат из группы ингибиторов протонной помпы ( Н +/ К ± АТФазы ) . Разработан Eisai, реализуется Janssen - Cilag в виде натриевой соли ( rabeprazole sodium) под бренд - неймами Aciphex или Париет . В России для розничной продажи зарегистрированы препараты с действующим веществом рабепразол с торговыми названиями:
listel .ru › рабепразол
Описание действующего вещества Рабепразол/ Rabeprazolum . Формула: C18H21N3O3S, химическое название: 2 . . .
Действующее вещество Рабепразол: описание, химическая формула, состав и дозировка . . .
Рабепразол-СЗ, таблетки покрытые растворимой в кишечнике оболочкой, производство Северная Звезда, Россия, содержащие 10 или 20 мг рабепразола .
Рабепразол — статья из Википедии — свободной энциклопедии . Рабепразо́л — противоязвенный препарат из группы ингибиторов протонной помпы (Н+/К±АТФазы) .Разработан Eisai, реализуется Janssen-Cilag в виде натриевой соли . . .
Рабепразол — синтетичний препарат, що є похідним бензимідазолу та належить до групи інгібіторів протонної помпи, що застосовується перорально та парентерально . Рабепразол уперше синтезований у Японії у лабораторії компанії «Eisai Co .» та застосовується у клінічній . . .
Цитиколин Саше Аналоги Цена
Синупрет Инструкция Для Детей 3
Железо Хелат Эвалар Отзывы Покупателей
Таблетки Фавибирин От Чего Назначают
Норколут Это Гормональный Препарат Или Нет Отзывы
Тирозол Для Чего Назначают Женщинам
Климонорм Интернет Аптека
Гонадотропин Хорионический После
Хлорофиллипт Побочные Действия
Спарекс 200 Мг
Редуксин Инструкция По Применению Отзывы Врачей
Инфагель Стоимость
Магнерот Отзывы Пациентов Принимавших Препарат Форум
Вобэнзим Цена СПб Аптека
Гинестрил Форум
Дигоксин Спиронолактон
Норфлоксацин Инструкция При Цистите
Ацц Или Джосет Что Эффективнее
Урсосан Продолжительность Приема
Пирантел Таблетки Как Действует
Дапсон При Пневмонии
Ферретаб При Низком Ферритине Отзывы Форум
Лактоструктум Комплекс Лактулозы С Лигнином
Дюфалак В Аптеках Москвы
Тералиджен С Похмелья
Теопэк 100
Кетонал От Давления
Телмисартан Наличие В Аптеках
Глюкозамин Хондроитин Для Суставов Спортсменов
Ибупрофен Мазь Биохимик
Назначен Омез Инструкция По Применению
Мирамистин Цена В Тамбове Спрей
Гриппферон Капли Цена В Аптеках Брянска
Препарат Но Шпа Дуо
Панадол Показания
Что Можно Лечить Камфорным Маслом
Бисептол 480 Аналоги Цена
Нормодипин Рлс
Ордисс Отзовик
Глидиаб Мв Цена Отзывы
Димедрол Папаверин Количественное Определение
Побочные Эффекты Цитофлавина У Взрослых Отзывы
Для Чего Полисорб Порошок Принимают Взрослые
Целестодерм С Гарамицином Инструкция По Применению
Допегит В Первом Триместре
После Дюфастона Когда Должны Пойти
Феварин Группа Препарата
Дигоксин Международное Название
Супрозафен
Детралекс 1000 В Аптеках Воронежа
Солкосерил Мазь Цена В Энгельсе
Сколько Стоит Пропротен 100 Капли
Энцетрон Солофарм Побочные Действия
Индинол Отзывы Женщин Принимавших
Таблетки Ордисс Цена Инструкция По Применению Отзывы
Келтикан Капсулы Показания
Ксарелто Цена Сургут
Химотрипсин Где Действует
Галавит При Короновирусной Инфекции
Цикловита Цена Барнаул
Фрагмин
Рекомендации После Пентаксима
Лактазар Биогая
Сравнить Нейробион И Комбилипен
Нагрев Гидроксида Железа
Олеос Щербинка
Хондроитин 6
Психиатр Назначила Ребенку Тералиджен Отзывы
Остенил В Аптеках Москвы
Ингаляция Пульмикорт Для Детей Сколько
Табекс Реальные Отзывы Курильщиков
Деквалиния
Беременность При Приеме Регулона
Уколы Пикамилон Показания К Применению Отзывы
Мазь Флоксал Для Глаз Инструкция Отзывы
Препарат Йодопирон
Масло Флоресан 10 Масел
Глицерин Для Системы Отопления Отзывы
Брилинта 90 Мг Цена Москва
Препарат Персен
Аналог Терафлю Дешевый Российский В Пакетиках
Деплатт Таблетки
Кандибиотик Цена В Красноярске
Месячные На Ярине Форум
Пепсан При Беременности Форум
Эспумизан От Запора Для Новорожденных
Периндоприл Эналаприл Сравнение
Кветиапин 50
Эспумизан Сироп Инструкция По Применению Цена
Мерифатин 850 Мг Отзывы
Цинктерал Тева 124 Мг
Капли Софрадекс В Уши Взрослому
Анальгин С Димедролом Уколы Цена
Альфа Токоферола Ацетат Колекальциферол Ретинол
Ранитидин Отзывы Врачей И Пациентов
Прозерин Уколы В Плечо
Супракс Цена В Нальчике
Септолете Апрель
Хлорелла И Спирулина Фаберлик
Сеалекс Действующее Вещество
Рабепразол Формула






















.gif)

































































