Прямоугольник периметр 110 см на поле
Прямоугольник периметр 110 см на поле 93 фото
Песни пошлой молли нон стоп ремикс
Какая насечка на фрезе
7 гор больница иваново телефон
Строительные пылесосы отзывы владельцев
Заявление об отказе претензий
Старт подписка новым пользователям
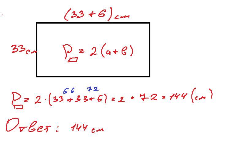
Как посчитать периметр стен
Производитель экокамин
Свадьбы не будет рассказ на дзен
Молитва отдать быстрее долг



























































































