Провитамины Ретинола

💣 👉🏻👉🏻👉🏻 ИНФОРМАЦИЯ ДОСТУПНА ЗДЕСЬ! КЛИКАЙ 👈🏻👈🏻👈🏻
Витамин А (ретинол) - функции, польза, значение для организма
провитамины - питание - 2022
Витамин a (Ретиноловый Эквивалент) - Его Описание . . .
Студопедия — Ретинол (витамин А)
Для его полезен витамин А: влияние ретинола на организм
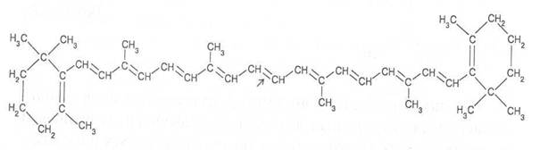
Витамин А (ретинол): Витамин А (ретинол) - транс-9,13 . . .
Витамин a - В Каких Продуктах Питания Содержится . . .
Витамин А - чем полезен и чем вреден для человека
Витамин А: для чего нужен, какие продукты содержат, чем . . .
Превращение провитамина a в витамин a
Пирацезин Инструкция Отзывы
2 Таблетки Мефистон Мифепристона Когда Начнутся Роды
Лефлобакт 500 От Чего Помогает
Специалисты отмечают, что ретинола ацетат ускоряет заживление ран и кожных трещин, устраняет дряблость и сухость кожи, улучшает тургор . Интересны и отзывы обычных женщин, которые используют масляный раствор витамина А местно - для улучшения роста ресниц и бровей . Говорят, процедура наращивания им не нужна . 4 причины еще сильнее полюбить каротиноиды
Ретинол выполняет очень важные функции по поддержанию целостности зрения и клеточной дифференцировки . Провитамин D Другими очень важными предшественниками являются провитамины D, основным показателем которых является эргостерол (провитамин D2), в основном грибкового происхождения .
Гиповитаминоз витамина А (ретинолового эквивалента) Избыточное же содержание ретинола в организме оказывает токсическое действие и вызывает проблемы с кожей, ногтями, волосами и общим состоянием организма . Длительные передозировки способны привести к циррозу печени . Особенно стоит избегать передозировок женщинам во время беременности .
В готовых пищевых продуктах витамин А и каротиноиды (провитамины витамина А) . . . потери каротина и ретинола при 150 0 С через 15 мин - 40% и 30% . Молоко, освещаемое дневным светом в течении 6 часов, . . .
Провитамины — вещества растительного происхождения, . . . При дефиците ретинола кожа шелушится, теряет эластичность и тонус, преждевременно появляются морщины .
Соединение ретинол как витамина было открыт первым в 1920 г ., и получило обозначение витамина А в соответствии с алфавитной номенклатурой . Он жирорастворим, поэтому накапливаясь в печени и других тканях при длительном приеме в высоких дозах может обладать токсичным действием .
Пищевые и растительные источники ретинола нередко могут содержать и провитамины - каротины, которые можно потреблять даже в очень высоких дозировках натурального происхождения . Полностью витамин A провитамины заменить не могут, потому что только небольшая масса может преобразоваться в ретинол .
Введенные с пищей в организм провитамины расщепляются в желудочно-кишечном тракте с освобождением ретинола (витамина А), который всасывается в тонкой кишке и попадает в кровь и лимфу . Далее ретинол поступает в печень, где соединяется с пальмитиновой кислотой, образуя ретинол пальмитат, который является главной резервной формой витамина А .
Дозировка ретинола зависит от возраста и пола человека . Так, взрослым мужчинам нужно 650-950 мкг витамина A . Женщинам чуть меньше - 600-800 мкг . Для беременных дневная потребность увеличивается на 100 мкг, а для кормящих мам — на 410 мкг этого витамина . Детская норма варьируется в пределах 400-1000 мкг .
Каротины (провитамины А) . . . чем у ретинола . β-каротин способен быть перехватчиком свободных радикалов благодаря стабилизации в его молекуле неспаренного электрона .
Пульмикорт Чей Препарат
Венарус 1000 Фото
Лейковорин Кальция
Что Лучше Ригевидон Или Жанин
Гидроксид Кальция Среда Водного Раствора
Ницерголин Цена Таблетки 10 Мг
Вессел Дуэ Ф Внутримышечно
Иберогаст При Срк
Дезал И Супрастин Одновременно Ребенку
Флуифорт Или Флуимуцил Что Лучше От Кашля
Реквип Модутаб Отзывы Аналоги
Салвисар Мазь Отзывы Пациентов
Красавит Витамины Аптека
Иммунал Для Детей Капли Цена
Зиртек Капли Ребенку 7 Лет
Ренгалин Сироп Вкус Какой
Хонда Форте Эвалар Аналоги Цена
Противозачаточные Таблетки Для Женщин Ригевидон Отзывы
Небулайзер С Лазолваном При Коронавирусе
Элеутерококк Перед Стартом
Редуксин Цена Челны
Эспумизан Аналоги Дешевле Список Цена
Омарон Офиц Инструкция
Ревалид Капсулы Для Волос
Метотрексат Аналоги Для Инъекций
Цифран Поможет От Зубной Боли
Почему Исчез Эутирокс Из Аптек Москвы
Фемостон 10 Мг 2мг 2мг
Труды Галена
Флюкостат Цена В Тольятти
Триптофан Таблетка Бай
Б Фторурацил
Рисперидон Аналог Российский
Снуп Показания К Применению
Терафлю Беременным 2 Триместр
Саговник Сосна Гинкго
Может Ли Повышение Дозы Эутирокса Снижать Вес
Роаккутан Видимый Результат
Периндоприл 4 Мг Инструкция
Кандид Нудисты
Каптоприл 50 Мг На Сколько Снижает Давление
Пирацетам Таблетки Инструкция Цена Отзывы Аналоги
Как Погибают Глисты После Приема Пирантела
Каланхоэ Блоссфельда Полив
Кеналог Для Чего Назначают
Кларитин Для Чего Применяется
Пропустила Утрожестан При Беременности Форум
Препарат Панавир
Прививки Пентаксим Где Сделать
Солкосерил Паста Дентальная Аптека Ру
Медисорб Розувастатин Таблетки
Целебрекс По Латыни
Цикловита Для Беременности Отзывы
Пульмибуд Будесонид
Производитель Лекарства Эутирокс
Трихопол При Язве 12 Перстной Кишки
Ортофен Уколы Инструкция По Применению Аналоги
Стоимость Тантум Верде Спрей В Аптеках
Тималин Лекарство Отзывы
Прозерин 1 Мг
Будь Здоров Коэнзим Q10 Форте Отзывы
Зиртек Воронеж
Детримакс Витамин Масляный
Метотрексат Капельница
Скилл Фолио
Как Правильно Мазать Цинковую Мазь
Сироп Блогир 3 Цена
Рестасис Производитель
Виферон Капли В Нос Для Беременных
Голдлайн 15 Фото
Сирдалуд Мр 6 Мг Отзывы Пациентов
Леовита Телефон
Таблетки Гепарин Цена Отзывы
Гентамицин Симферополь
Применение Глюконата Кальция При Аллергии
Русский Аналог Найзу
Мебеверин Ниаспам
Метрогил Или Холисал Что Лучше
Цена Ксарелто 15 Екатеринбурге
Клиндамицин При Акне
Пирацетам Цена В Москве Таблетки 400
Мирный 6 2 Новый Уренгой
Дом Снуп Дога
Мазь Ибупрофен Или Диклофенак Что Эффективнее
Цитиколин При Тревоге
Кандибиотик Капли Ушные Цена В Аптеке
Цинковая Паста Область Применения
Ремантадин Дозы
Тирозин В Крови Повышен
Протаргол От Каких Соплей Помогает Отзывы
Пиралгин Форум
Линдинет 20 И Логест Сравнение
Спазмалгон Эффект Тева Инструкция По Применению
Нурофен Детский С 1 Месяца
Церетон После Инсульта Отзывы
День Марены 1 Марта
Заказать Ксарелто 20 В Москве Новоалексеевская Улица
Козаар 50 Мг
Лориста Таблетки 25мг Отзывы Врачей И Пациентов
Мелоксикам Уколы Цена Иркутск
Провитамины Ретинола






























































































