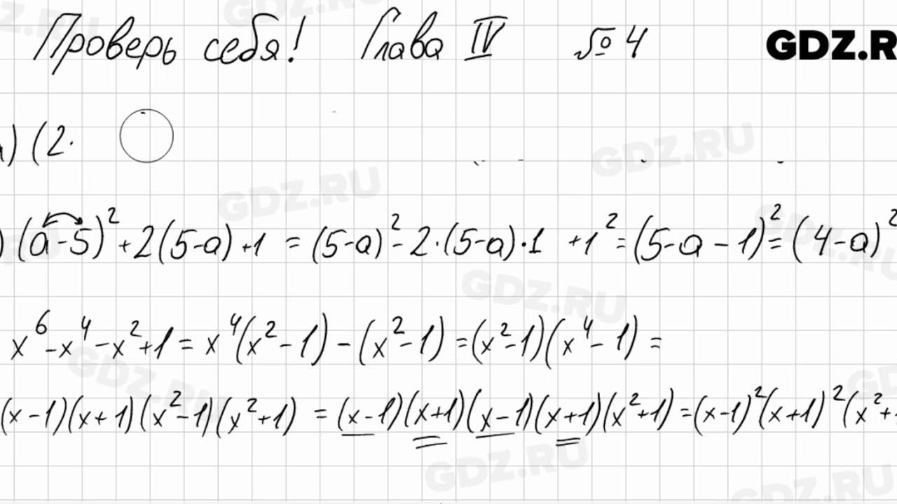
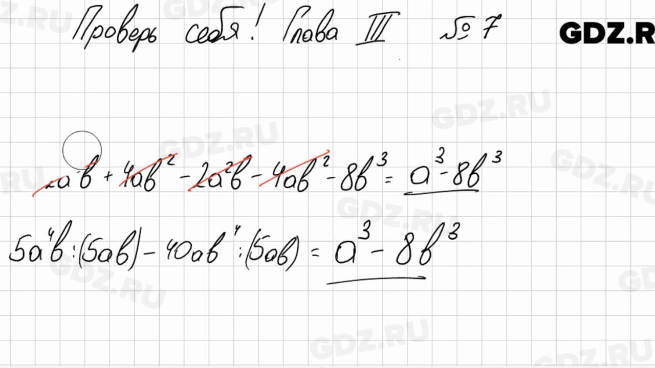
Проверь домашнее задание по алгебре
Упражнение 105 по русскому языку 9 класс
Erome melayu
Супер это мой любимый
Санаторий медис в нальчике
Кто мог быть автором слова подобрать аргументы
Бухгалтерские проводки по учету денежных средств
Биробиджан юлианна
Творог альметте
Аллохол на ночь
Нива на юле
Севастопольская 24а как добраться
Казахстан астана и алматы
My sister run 15 km today
Проверь домашнее задание по алгебре 116 фотографий












































































































