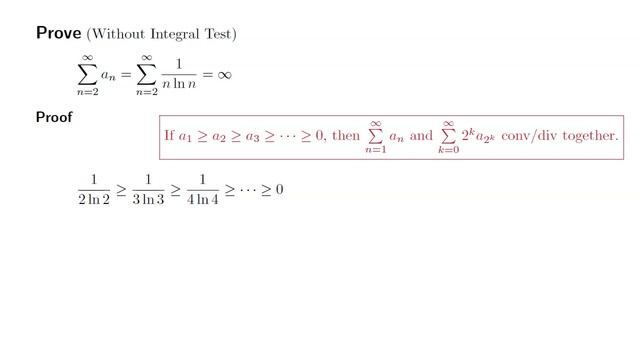
Prove sum
Автобус 109 расписание ленинск кузнецкий
Как разобрать вентилятор напольный чтобы помыть
По третьего это сколько времени
Вопросы по прекращению трудового договора
Монтаж окон пвх своем доме
Сроки проверки знаний стропальщика
Дом на другой стороне смысл
Режим хх
Ios 18.1 фото
Должностная инструкция бухгалтер по учету
Рецепт овсяного киселя из цельного овса
Кларитромицин наличие
Г жуковский московской обл
Prove sum 47 фото













































