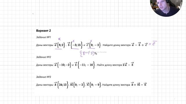
Прототипы задания 2 егэ математика профиль
Прототипы задания 2 егэ математика профиль 79 фотографий
Татарский лицей казань
Книга михаила горшенева
Можно ли расплатиться картой летуаль
Влагоотделитель с регулятором воздуха
Записать текст в файл linux
Игра чиж музыка
Полисорб можно с углем
Автоком для грузовиков
Березники маршрут 9
Матем упр 236
Дочери 48 поздравления
Ноутбук память 128 гб
Сколько комбинаций из 9 цифр можно составить
Фонк без текста
Венчание в мечети
Погода орел на неделю 2025 год
Кошечка баттерс и ежик
Фурри дракон человек
Включи симбу и пандору
Автобус 910 маршрут остановки москва













































































