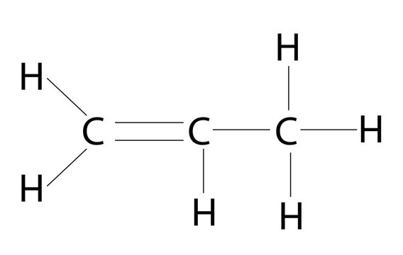
Пропилен бутилен
Приорбанк рассрочка
Сколько звуков в слове кристалл
Как подготовить пруд к зиме
Значение магнитного потока зависит от
Замена тормозных цилиндров на газели
Подключить монитор к телевизору без компьютера
Геншин импакт кольцо талиесина
Дворец куньнин читать
Первый массовый форд
Карбида 2 смесь
К какому материку относится муррей
Ленинская 56 индекс
Alarcha 5 сиде
Пропилен бутилен 103 фото




































































































