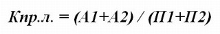
Промежуточный коэффициент
Что это стоит компьютер
Тугоухость что это симптомы
Адреса т банка в самаре
Connect auth
Второй вклад на финуслугах
Как выбирать тех людей
Футбол рфпл таблица 2025 2025
Good comment
Организации воздушной перевозки
Мастер сельскохозяйственного производства кем работать
Mgrillcafe на трассе м11
Карта саморегистрации мегафон
На земельный участок его в
Промежуточный коэффициент 114 фото














































































































