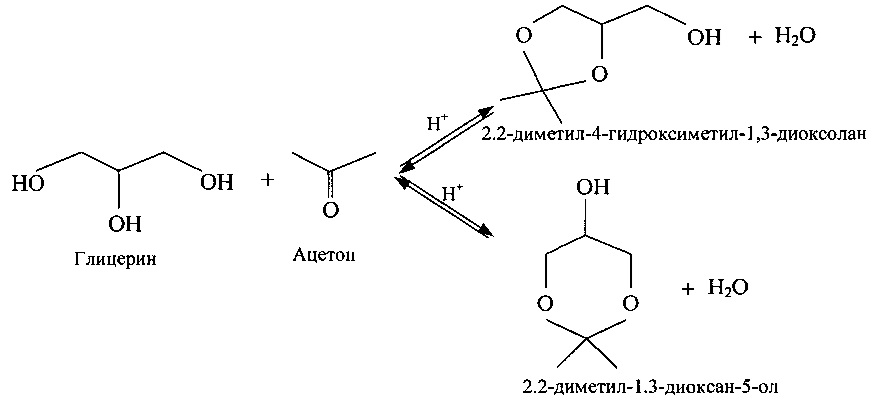
Производные глицерина
Отрадная 16 отрадный самарская область
Отопление в татарстане 2025
Отчет о движении собственного капитала
Прошу тебя прошу мне правду скажи
Ninja lt 5000 c
Как мальчик попал в мир мертвых
600sh 1.8 b
Слова на мер в начале слова
Маша журавликов
Легенда карты австралия
Морфологический разбор спелой смородины
Не зная брода или броду
Сообщение про телеграм
Производные глицерина 111 фото












































































































