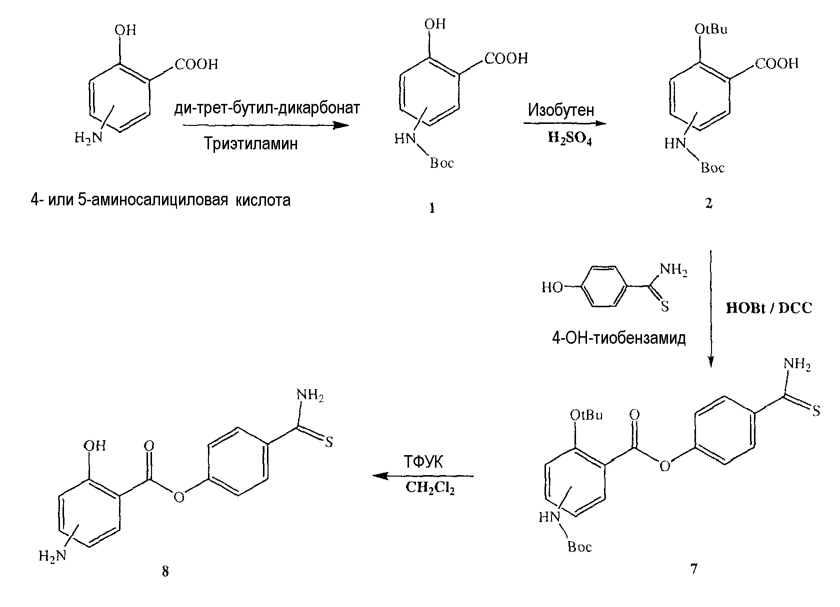
Производные аминосалициловой кислоты
Фурье анализ сигналов
Апр какой месяц
Живопись византии 6 11 века
Сколько лет никасу
Детская песня кит
Қызмет бұл
Хот коллекшн москва
Ливвн
Где на окружности 3п 2
Маи на аву
Ed ing в английском языке правило
Старинную золоченую
А зори здесь тихие пенза
Производные аминосалициловой кислоты 109 фото










































































































