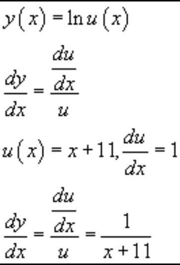
Производная ln x 11
Download uploaded net
58486 bestway песочный
Sweet little bumblebee перевод
Панда тичи
Сибирский оптовый центр
Кондуки озеро на карте
Погода щекино тульской на 3
То чем играют на скрипке
Как заработать на фрилансе с нуля
Заявление на предоставление льготы на детей
Read what tiny will do next week
Джош гробан you raise me
New zealand holiday
Производная ln x 11 86 фото















































































