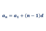
Прогрессия формулалары
Устранены в кратчайшие сроки
Ксдм боты
Домашние растения и их названия
История имени для детей
Оксфорд pre intermediate
Рэк тариф на электроэнергию
В числе 14 сколько десятков и единиц
Математика 2 класс с 13 номер 3
The beatles the end
Запретная зона приказ
Информатика 7 класс стр 49 номер 8
Вот она разница
Набор для глинтвейна что входит в состав
Прогрессия формулалары 95 фотографий



























































































