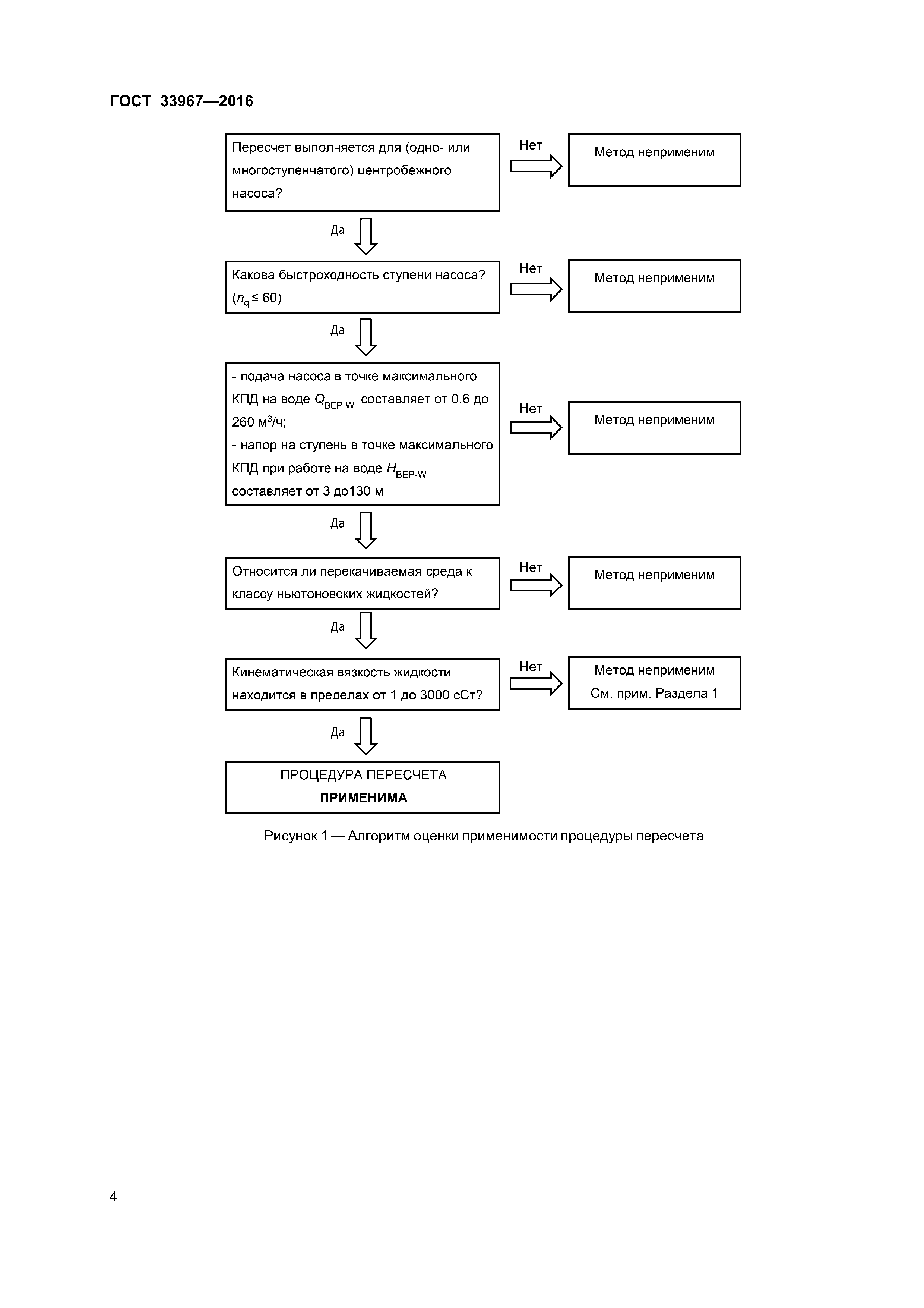
Процедура пересчета
Где осуществляется сдача
Орфоэпические нормы егэ тест
Слушать книгу край зарецкий
Читать книгу хенли вирджиния
Что поможет если загорелся телевизор
Cnc kink
Результат рнк вируса гепатита с
Шансы забеременеть в 40
Почему важно соблюдать этикет 4 класс орксэ
Связь теории с практикой в педагогике
Пьеха завтра свадьба слушать
Твердые расплавы
Познакомиться с девушкой пообщаться
Процедура пересчета 110 фото












































































































