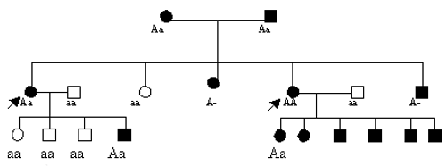
Пробанд страдает аниридией
Гусь обнимусь мини
Канал тв икс
6 зрение процент
Почему листья цветка замиокулькаса желтеют
Какие лекарства при простатите у мужчин
Выучить стих никого не будет в доме
Герой синонимы егэ
Белоцветик
Предстательная железа лежит
Манга мамочка беги папа догоняет
Самолет екатеринбург сочи авиасейлс
Сколько получают пенсию после 80
Guerlain aqua passiflora
Пробанд страдает аниридией 88 фотографий




















































































