Про примеси в АФС
Одним из первых показателей качества который страдает от косорукости разработчиков, технологов, аппаратчиков и мастеров цеха (дальнейших козлов отпущения выбираем по личным предпочтениям) это примеси. К сожалению тут не как с приправами - наличие лишних кулинарных изысков производства, придает увы далеко не искомые характеристики субстанции. Вообще фармацевтическая индустрия относится к одной из самых требовательных в плане чистоты используемых веществ, а особенно АФС.
Для сравнения - требуемое количественное содержание АФС это от 98.0% до 102.0%, то есть у нас в 1 грамме порошка должно быть от 980 до 1020 мг активного вещества. Кстати с последней цифрой никакой магии, это просто метрологические нюансы, вытекающие из того, что количественное содержание оценивается относительно стандартного образца.

Например, в пищевой индустрии использовать НЁХ с содержанием от 95.0% или того меньше в порядке вещей. Так что прежде чем обвинять фармацевтические компании в чем-то, я бы пригляделся к “органик” еде, где с контролем качества еще хуже.
Так вот примеси - эта гильдия поганцев норовящих попасть в конечную субстанцию обычно классифицируется на несколько категорий:
- Органические
- Неорганические
- Остаточные растворители - в синтезе это обычно органика, но вот так вот повелось
Ну это лишь категории и если вдаваться в подробности, но полный список представлен ниже.

Теперь очень кратко по каждому сектору:
- Органические примеси - обычно всё что сколь либо связано с основной структурой целевой субстанции. Обычно на этапе синтеза вылезают как раз процессные примеси - результат нецелевого взаимодействия полупродукта или продукта с каким-нибудь агентом, начиная от воздуха и заканчивая чем-то более экзотичным. Да, во время разработки, необходимо учесть весь перечень возможных взаимодействий, чтобы обеспечить качественный продукт и конечно надо учесть как субстанция может повести себя при хранении и контакте с вспомогательными веществами, упаковкой и т.д. Слава здравому смыслу доблестная фармацевтическая индустрия защищает пациента от всех возможных примесей добавив нехилую щепотку бюрократии и не дает неведомым веществам добраться до нашего организма (три раза хаха, но об этом со временем расскажу).
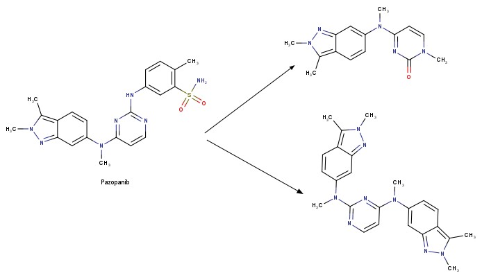
”Наглядный” пример двух процессных примесей пазопаниба, которые получились из-за побочных реакций на ранних этапах синтеза и оставшихся с ним до конца его нелегкого пути. Это пример, тут не надо постигать и понимать, просто хочется немного подсветить с чем приходится сталкиваться.

- Неорганика - это всё что было не включено в прошлую категорию. По сути это все вещества похожие на хлорид натрия своими свойствами - соли различных металлов, оксиды и т.д. Ввиду свойств молекулярной структуры таких веществ их нельзя идентифицировать теми же методами, что и органические примеси. Нужно упомянуть что допустимые пределы содержания неорганики в субстанции отличаются от органики и тоже регулируются как могут. Основной “прикол” этих примесей - они бывают не только процессные, иногда некондиционное оборудование может выдавать порцию металлов в продукт при этом оставаясь незамеченным.
- Растворители - вроде органика же, почему отдельная категория? Метод анализа. Если в органике обычно используется жидкостная хроматография, а в неорганике ICP-MS с сульфатной золой, то тут на сцену выходит газовая хроматография, вот и всё. Очевидно что растворители могут оставать в субстанции после ее получения, несмотря на активность альтернативных партий против природы не попрешь и большинство реакций тонкого органического синтеза не рады протекать в водных средах (да, есть подходы, да автор ставил реакции кросс-каплинга в водных средах с помощью сурфактантов, но наша цель рентабельный синтез). Поэтому использование толуола (PhMe) или циклопентилметилового эфира (CPME) это нормально, главное осушить/отмыть АФС в конце производственного цикла. К сожалению иногда субстанция не готова расставаться с новыми соседями давая сольваты, сокристаллы или того хуже инклюзии, когда приходится прибегать к более хитрым физическим методам, чтобы избавиться от лишнего. Как обычно регуляторы тут тоже постарались и как обычно недоработали, но эти детали потом, чтобы не грузить
Итак, несмотря на строгость фармацевтического тонкого органического синтеза синтезируя новую серию АФС мы каждый раз получаем в некотором роде уникальный продукт. Суть процессной разработки - максимально уменьшить зону неопределенности, чтобы свести уникальность продукта к минимуму. Это вполне достижимая задача (если конечно не вести ее по принципу “9 женщин родят ребенка за 1 месяц”), но к сожалению только в рамках одной площадки.
Чем сложнее молекула (больше молекулярный вес и всяких функциональных групп), тем выше шанс, что при передаче процесса или его разработке на другой площадке профиль примесей финальной АФС, т.е. качество, будет различаться.
При этом обе субстанции будут проходить по спецификации. Насколько это критично? Зависит от АФС и нового профиля примесей, иногда это не критично, а иногда это может привести к хронической токсичности препарата. Но, как обычно, не всё так однозначно, и каждый случай (АФС) надо рассматривать в отдельности.
Буду понемногу раскрывать эту тему в своих следующих постах.