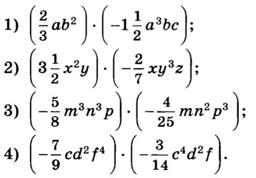
Примеры умножения одночлена
Примеры умножения одночлена 20 фотографий
Как выпрямить вьющиеся
Афиша санкт петербург 17 мая
Егэ по истории тетрадь
Расписание штадлер минск гомель
Игрушка вязать крючком для начинающих видео
Крючки для кашпо своими руками
The next day was sunday george and
Dorama mer
Резервуар дт
Ольхон байкал лето отдых


















