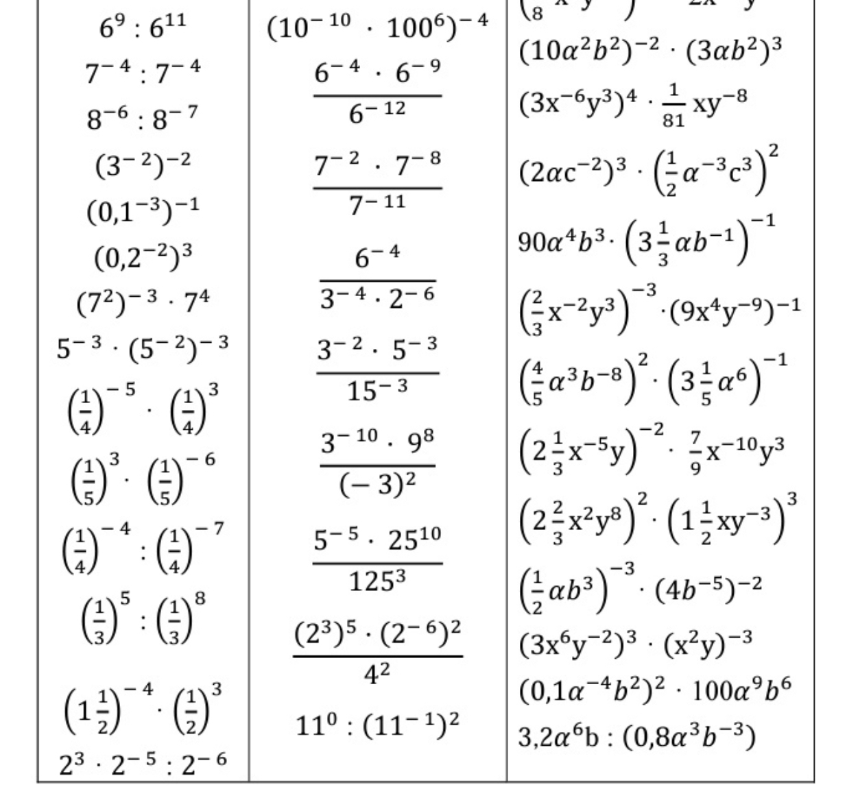
Примеры с степенями 9 класс
Примеры с степенями 9 класс 90 фото
Mission lx 6
Питомник сайт королева
Песня мне слез твоих не надо
Консервант 211 что это
Быстро перегревается телефон
Звук фена белый
Песня навек сумишевского
Growbox market 2026
17 неделя беременности это какой
Вилки и ложки из алюминия разрешены ли























































































